Upper and Lower Linits (lim sup and lim inf) - Sohrab Proposition 2.2.39 (b) ....

  • Context: MHB 
  • Thread starter Thread starter Math Amateur
  • Start date Start date
Click For Summary
SUMMARY

The discussion centers on the proof of Proposition 2.2.39 (b) from Houshang H. Sohrab's "Basic Real Analysis" (Second Edition), focusing on the concepts of upper and lower limits in the context of monotone sequences. The proof utilizes the Monotone Convergence Theorem, establishing that for a monotone non-decreasing sequence \(u_n\) with limit \(L_u\) and a monotone non-increasing sequence \(v_n\) with limit \(L_v\), the relationship \(L_u \leq L_v\) holds. A contradiction is derived by assuming \(L_u - L_v = c > 0\), leading to the conclusion that \(u_n\) cannot exceed \(v_n\) as \(n\) approaches infinity.

PREREQUISITES
  • Understanding of monotone sequences and their limits
  • Familiarity with the Monotone Convergence Theorem
  • Basic knowledge of real analysis concepts, specifically upper and lower limits
  • Ability to construct formal mathematical proofs
NEXT STEPS
  • Study the Monotone Convergence Theorem in detail
  • Explore the definitions and properties of upper and lower limits in real analysis
  • Practice constructing formal proofs in real analysis
  • Review examples of bounded sequences and their limits
USEFUL FOR

Students of real analysis, mathematicians focusing on sequence convergence, and educators teaching mathematical proof techniques will benefit from this discussion.

Math Amateur
Gold Member
MHB
Messages
3,920
Reaction score
48
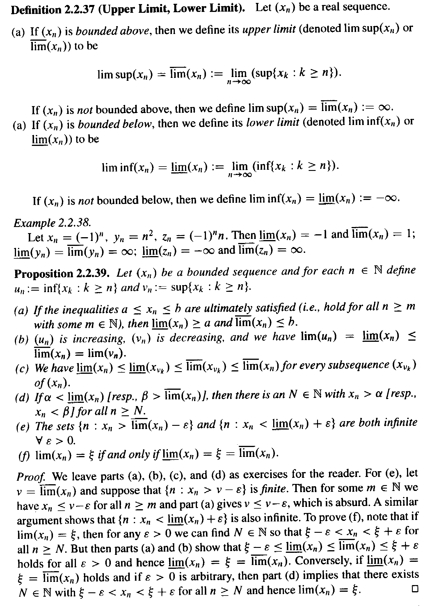
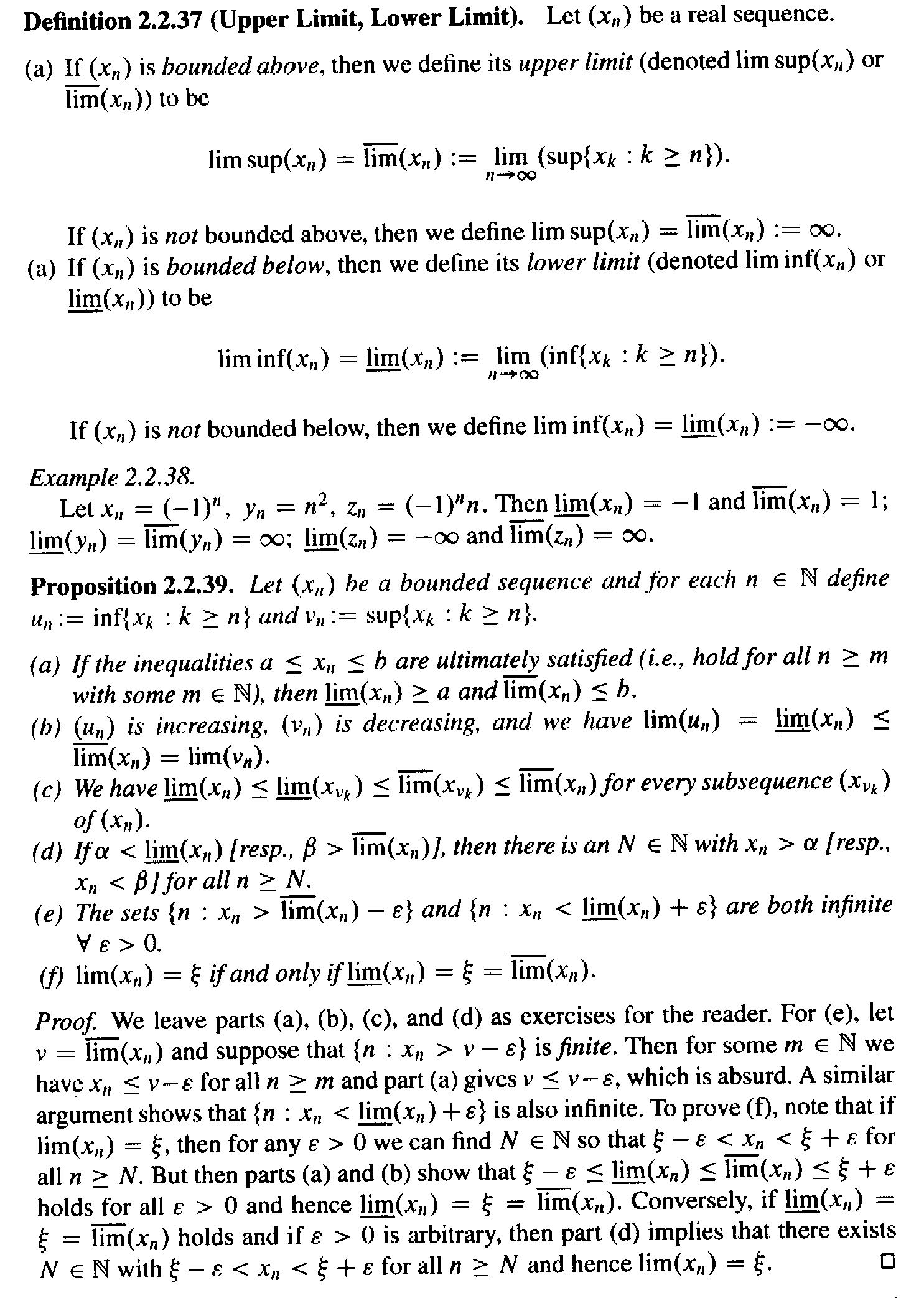
I am reading Houshang H. Sohrab's book: "Basic Real Analysis" (Second Edition).

I am focused on Chapter 2: Sequences and Series of Real Numbers ... ...

I need help with the proof of Proposition 2.2.39 (b)Proposition 2.2.39 (plus definitions of upper limit and lower limit ... ) reads as follows:
View attachment 9244
Can someone please demonstrate a formal and rigorous proof of Part (b) of Proposition 2.2.39 ...Help will be appreciated ... ...

Peter
 

Attachments

  • Sohrab - Proposition 2.2.39 ...  .png
    Sohrab - Proposition 2.2.39 ... .png
    50.2 KB · Views: 170
Physics news on Phys.org
I presume you know monotone convergence theorem...

$u_n$ is a monotone non-decreasing sequence and the sequence is bounded, so it has a limit $L_u$
$v_n$ is a monotone non-increasing sequence and is bounded so it has a limit $L_v$

but for all $n$
$u_n \leq v_n$
by construction hence passing limits,
$L_u \leq L_v$
(This is another basic property of limits... if you aren't familiar, argue by contradiction that $L_u - L_v = c \gt 0$, now select something easy, say $\epsilon := \frac{c}{10}$ which implies there is some $N$ such that for all $n\geq N$ in each sequence (a slightly more careful approach is $N =\max\big(N_v, N_u\big)$)

you have
====
$\vert u_n - L_v\vert \lt \epsilon$
edit: to cleanup a typo, this should have said: $\vert u_n - L_u\vert \lt \epsilon$ . I had the wrong subscript.
====
and $\vert v_n - L_v\vert \lt \epsilon$ but this implies $u_n \gt v_n$ which is a contradiction -- sketching this out is best... it implies that $v_n \lt L_v + \frac{1}{10}c \lt L_v + \frac{9}{10}c = L_v + c - \frac{1}{10}c = L_u- \frac{1}{10}c \lt u_n$ )
 
Last edited:
steep said:
I presume you know monotone convergence theorem...

$u_n$ is a monotone non-decreasing sequence and the sequence is bounded, so it has a limit $L_u$
$v_n$ is a monotone non-increasing sequence and is bounded so it has a limit $L_v$

but for all $n$
$u_n \leq v_n$
by construction hence passing limits,
$L_u \leq L_v$
(This is another basic property of limits... if you aren't familiar, argue by contradiction that $L_u - L_v = c \gt 0$, now select something easy, say $\epsilon := \frac{c}{10}$ which implies there is some $N$ such that for all $n\geq N$ in each sequence (a slightly more careful approach is $N =\max\big(N_v, N_u\big)$)

you have $\vert u_n - L_v\vert \lt \epsilon$ and $\vert v_n - L_v\vert \lt \epsilon$ but this implies $u_n \gt v_n$ which is a contradiction -- sketching this out is best... it implies that $v_n \lt L_v + \frac{1}{10}c \lt L_v + \frac{9}{10}c = L_v + c - \frac{1}{10}c = L_u- \frac{1}{10}c \lt u_n$ )
Thanks for the help, steep ...

Just reflecting on what you have written...

Peter
 

Similar threads

  • · Replies 6 ·
Replies
6
Views
2K
Replies
2
Views
2K
Replies
5
Views
2K
  • · Replies 2 ·
Replies
2
Views
2K
  • · Replies 3 ·
Replies
3
Views
2K
  • · Replies 2 ·
Replies
2
Views
1K
  • · Replies 4 ·
Replies
4
Views
2K
Replies
4
Views
2K
  • · Replies 2 ·
Replies
2
Views
2K
Replies
2
Views
2K