Using Kirchoff's laws to find current in complex circuit

Click For Summary
SUMMARY

This discussion focuses on applying Kirchhoff's laws to determine current in complex circuits. Participants emphasize the importance of correctly identifying potential differences (PD) across voltage sources and resistors. A key technique mentioned is to draw arrows indicating PD direction, which aids in accurately summing loop voltages. The conversation highlights the necessity of clear notation and systematic approaches to solving circuit problems.

PREREQUISITES
  • Understanding of Kirchhoff's Voltage Law (KVL)
  • Familiarity with Ohm's Law (V=IR)
  • Basic circuit diagram interpretation skills
  • Knowledge of voltage sources and resistors
NEXT STEPS
  • Study advanced applications of Kirchhoff's laws in circuit analysis
  • Learn techniques for drawing and interpreting circuit diagrams
  • Explore methods for calculating equivalent resistance in complex circuits
  • Investigate simulation tools for circuit analysis, such as LTspice or Multisim
USEFUL FOR

Students studying electrical engineering, educators teaching circuit analysis, and hobbyists working on electronics projects will benefit from this discussion.

NihalRi
Messages
134
Reaction score
12

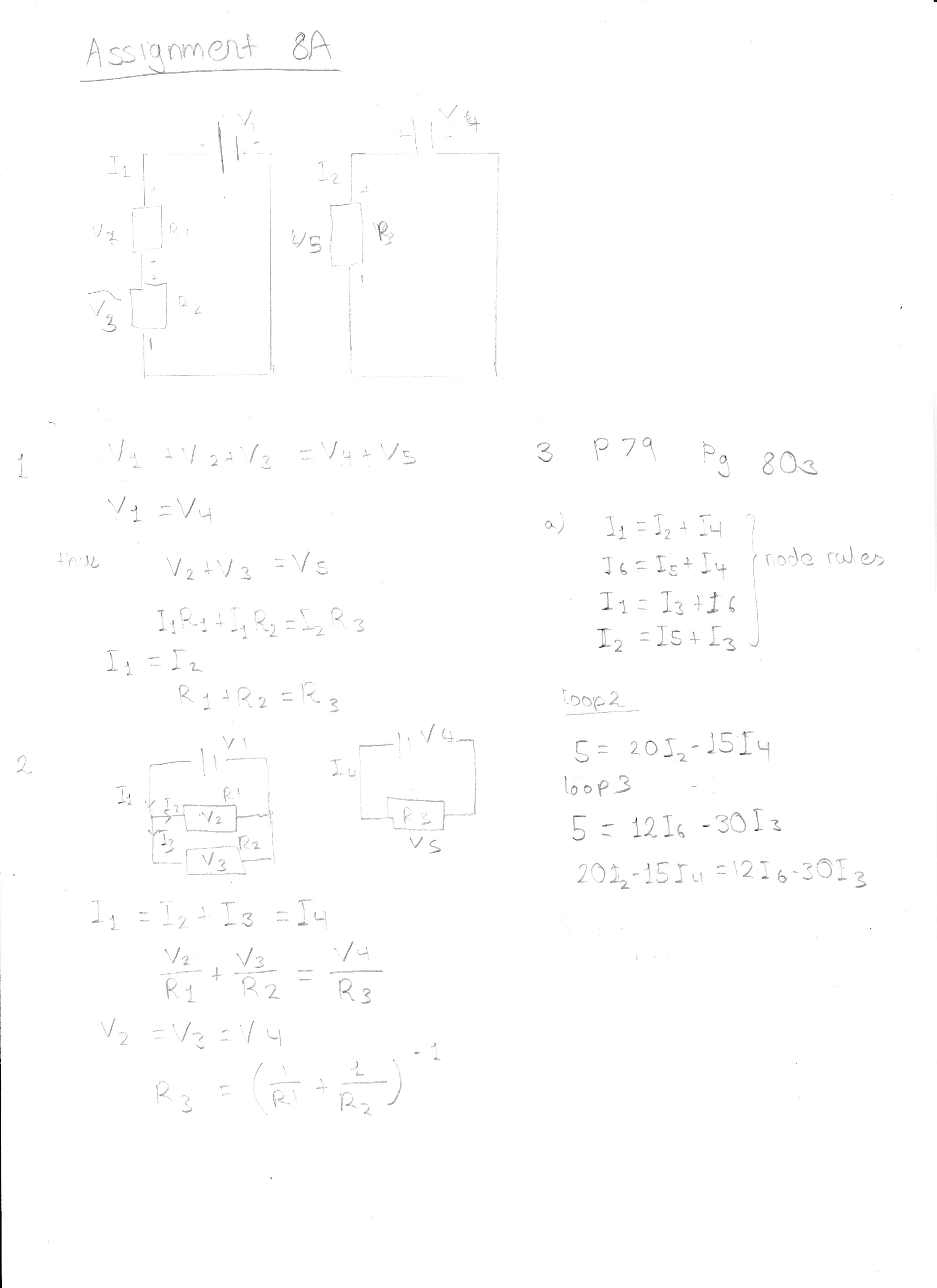
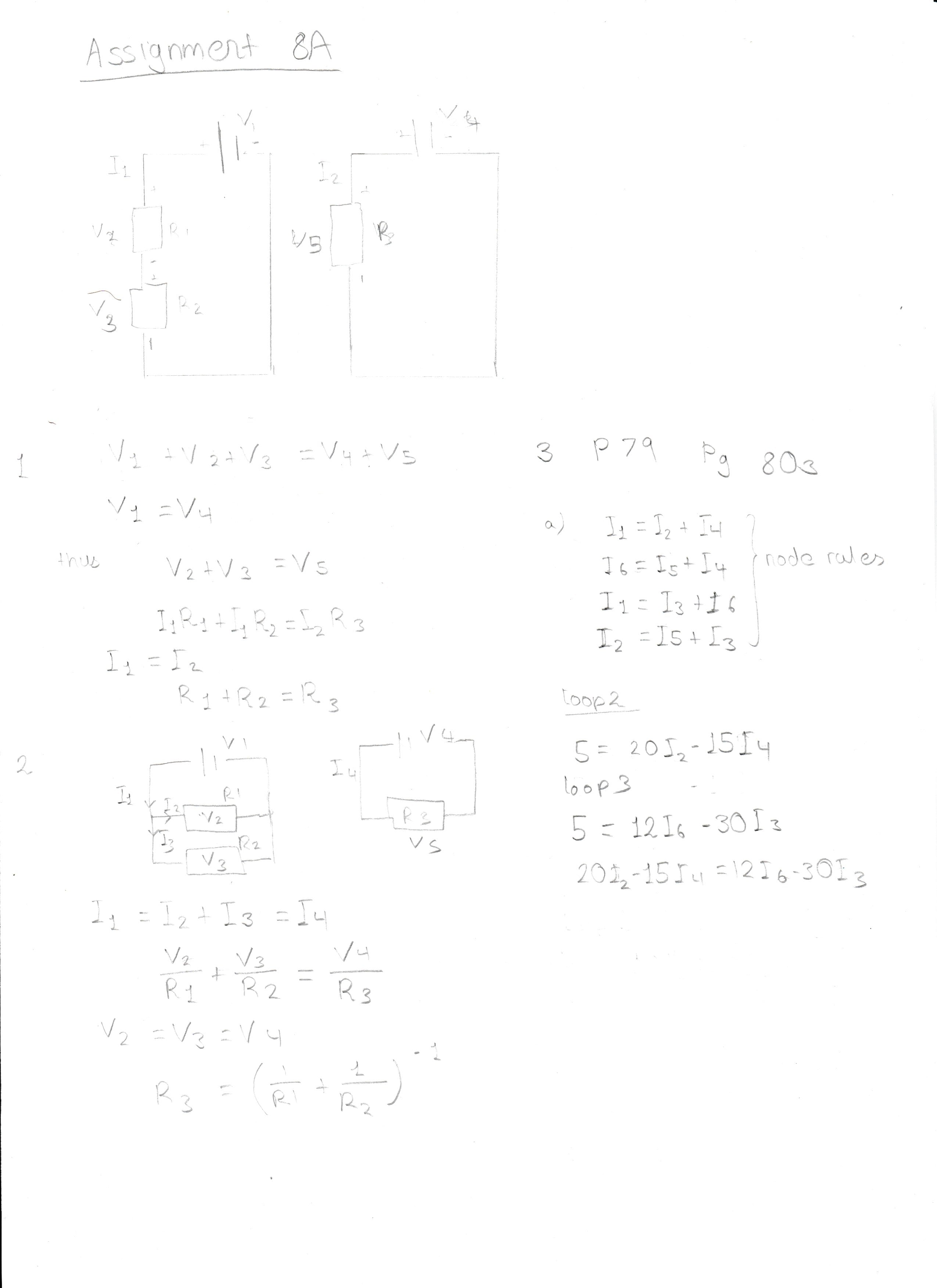
Homework Statement


IMG_0279.JPG

IMG_0280.JPG


Homework Equations


V=IR and kirchhoffs laws

The Attempt at a Solution



Number three is my attempt at finding a solution but I got stuck when I had to find an expression for loop one on the diagram. Thanks in advance for your help

https://www.physicsforums.com/attac...7/?temp_hash=33c1cfe87b4a06969362558ec51465bc[/B]
 

Attachments

Physics news on Phys.org
Image too faint to read - which loop did you have trouble with? - please type out the attempt.
A trick to getting the loop sums right is to put potential diffrerence arrows on all voltage sources and resistors. The PD goes negative to positive for batteries, and goes opposite the labelled current for resistors.
When you traverse a loop, add the arrows you go in the same direction with and subtract the others.
 
  • Like
Likes   Reactions: CWatters

Similar threads

  • · Replies 6 ·
Replies
6
Views
3K
  • · Replies 28 ·
Replies
28
Views
2K
  • · Replies 12 ·
Replies
12
Views
3K
  • · Replies 8 ·
Replies
8
Views
2K
  • · Replies 3 ·
Replies
3
Views
1K
  • · Replies 10 ·
Replies
10
Views
2K
  • · Replies 2 ·
Replies
2
Views
2K
  • · Replies 5 ·
Replies
5
Views
1K
Replies
5
Views
2K
  • · Replies 5 ·
Replies
5
Views
1K