Using Remainder Theorem to find remainder

Click For Summary

Homework Help Overview

The discussion revolves around finding the remainder of a polynomial division problem involving the polynomial \(y^4 - 5y^2 + 2y - 15\) divided by \(3y - \sqrt{2}\). Participants are exploring the application of the Remainder Theorem and synthetic division methods.

Discussion Character

  • Mixed

Approaches and Questions Raised

  • Participants discuss different methods for finding the remainder, including synthetic division and long division. There are questions about the accuracy of calculations and the handling of fractions. Some participants express confusion over specific steps and results.

Discussion Status

The discussion includes attempts to clarify calculations and methods. Some participants have provided alternative approaches, while others have noted potential errors in the original poster's calculations. There is no explicit consensus on the best method, but guidance has been offered regarding the use of the Remainder Theorem.

Contextual Notes

Participants are working under the constraints of homework rules, which may limit the amount of direct assistance they can provide. There is an acknowledgment of difficulties in writing out the problem clearly, which may affect understanding.

Schaus
Messages
118
Reaction score
5

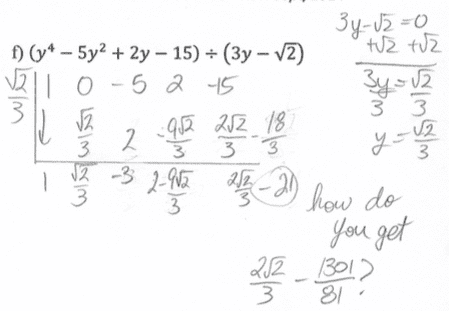
Homework Statement


(y4 - 5y2 + 2y - 15) / (3y - √(2))
The answer says (2√(2)/3)-(1301/81)
https://lh3.googleusercontent.com/tdxTK9jIztkS5_7q9x0jP_D3HdkcDcKO9K_T2glYcdlF5MW71SiVq0xNjj09bkX3yUTi0lVS5aehQcTCpjVMgEyIEySNwanKwnxkfuh-l9wGnecvNy11IkibZd5nNgn4eiv4l3I-SGY89O9V_M2uzlcRBLfMVMkS_gybhaz3be3-eDmspF47-z1thzMs6iseX2eU2IjJMpAmx0YjN4mrOY4Bx7hQtrUnyMA4GSXyavCjbLx89CaKmAU6bbqm36Qqm3ieAW1299QOvcXrBqH2XaT_u9T_THz1ktwI9a_Mw5ozQurH0RnZvOIWbArej-6PU9mOWIpvasISRaLkwCWpG_w76wjFjZGISRXhq33LvWxM4bGFbvirN6c--KFp5yLWC7djePdwbpb69UF5FbPYJxOuBIWoaVg1QPwwg0V7im1Zp0fThljuNWHmwyM1vA6tXhnc5zkx7WnZ8BCiP2feBXWOdal8yvnTA0BXY8O0_Ly1YSO8fqX1mATZ8RY8YlawtMB_FMwuNsAYVJ6Vde0tdPFQEYlQ3yYERXpeo-31kNJRs_Y9wP5pWUp58FTVgyBsOmwiztqNVUVJyQfnMiKjDKJeR9_wevbfnEStla1ntJRTakXqP8dG=w449-h311-no

Homework Equations

The Attempt at a Solution


Using synthetic division
3y - √(2) = 0
3y = √(2)
y = √(2)/3
View attachment 111547

My final answer that I keep getting is (2√(2)/3)-21. I can't seem to get (2√(2)/3)-(1301/81). I was just wondering if someone could show me where I'm going wrong? Sorry writing this out was very difficult so I hope you can still understand it.
 
Last edited:
Physics news on Phys.org
I don't actually can follow your calculations. If I compare my calculation with your result, then I think you simply lost some denominators.
I get ##\frac{4}{81}-\frac{10}{9}-15+\frac{2\sqrt{2}}{3}## whereas you seem to have added only the nominators ##4-10-15+\frac{2\sqrt{2}}{3}##.

I once gave an example on PF here:
https://www.physicsforums.com/threa...r-a-polynomial-over-z-z3.889140/#post-5595083

Maybe it helps.
 
  • Like
Likes   Reactions: Schaus
upload_2017-1-13_19-24-50.png
Sorry, I should have just posted this to begin with.
 
Schaus said:
View attachment 111547 Sorry, I should have just posted this to begin with.

Your long-division process is all wrong. Let ##p(y) = y^4 - 5y^2 + 2y - 15## and ##d(y) = 3y - \sqrt{2}##. You want to find a "quotient" ##q(y)## and a number ##r## (the "remainder") that give you ##p(y) = q(y) d(y) + r.## The question is asking you to find ##r##.

Step 1: see how many times the leading term of ##d(y)## will go into the leading term of ##p(y)##; that is the number of times ##3y## goes into ##y^4##. The answer in this case is ##y^4/(3y) = (1/3)y^3##, so that is the first term in your quotient ##q(y)##. Now we have
$$ p(y) - \frac{1}{3} y^3 d(y) = \frac{\sqrt{2}}{3} y^3 -5 y^2 + 2y - 15 \equiv p_1(y).$$

However, all that would be doing it the hard way. The easy way would be to go ahead and use the "remainder theorem".

Step 2: see how many times the leading term of ##d(y)## goes into the leading term of ##p_1(y)##. The answer is ##(\sqrt{2}/3)/(3 y) = (\sqrt{2}/9) y^2##, so that is the next term in your quotient ##q(y)##. We have
$$p_2(y) \equiv p_1(y) - \frac{\sqrt{2}}{9} y^2 d(y) = -\frac{43}{9} y^2 + 2y - 15.$$

So, up to now we have
$$p(y) = \left( \frac{1}{3} y^3 + \frac{\sqrt{2}}{9} y^2 \right) d(y) + p_2(y).$$

Keep going like that; the next term in the quotient ##q(y)## will be the number of times the leading term of ##d(y)## goes into the leading term of ##p_2(y)##, so is the number of times ##3y## goes into ##-(43/9) y^2##, etc., etc.

The remainder will be what you have left when the process comes to an end.

However, all that would be doing it the hard way; I included the material just because you attempted to do it, but did it all wrong. The easy way would be to just use the so-called "remainder theorem".
 
  • Like
Likes   Reactions: Schaus
I was using synthetic division which worked on every other question but I'll try it the way you're suggesting it.
 
I got the same result as the answer. Thanks for your help!
 
Schaus said:
I was using synthetic division which worked on every other question but I'll try it the way you're suggesting it.

It looks to me like you simply made a couple multiplication errors when working with fractions. I worked the problem with synthetic division and got the right answer.
 
Last edited:

Similar threads

Replies
4
Views
2K
Replies
7
Views
2K
  • · Replies 15 ·
Replies
15
Views
3K
  • · Replies 4 ·
Replies
4
Views
2K
  • · Replies 5 ·
Replies
5
Views
2K
Replies
9
Views
3K
  • · Replies 3 ·
Replies
3
Views
4K
  • · Replies 8 ·
Replies
8
Views
3K
  • · Replies 33 ·
2
Replies
33
Views
4K
Replies
4
Views
4K