Using Surface Integrals, calculate the area that vanishes with this rising tide

Click For Summary

Homework Help Overview

The discussion revolves around using surface integrals to calculate an area affected by a rising tide. Participants are examining the setup and evaluation of the integral involved in this context.

Discussion Character

  • Mixed

Approaches and Questions Raised

  • Participants are discussing the correctness of integral limits and the implications of these choices on the results. There are attempts to evaluate the integral, with some expressing difficulty in obtaining a finite answer.

Discussion Status

Some participants have provided guidance on adjusting the limits of integration, while others are exploring the challenges of evaluating the integral. There is an ongoing exchange of ideas without a clear consensus on the best approach.

Contextual Notes

There are mentions of the slope of the coast being small, which may influence the calculations. Additionally, there are references to the use of LaTeX for clearer communication in the forum.

daphnelee-mh
Messages
62
Reaction score
4
Homework Statement
attached below
Relevant Equations
A=sqrt[1+(dz/dx)^2+(dz/dy)^2]dA
1593820324786.png

Please help to see whether it's correct to do in this way
 
Last edited by a moderator:
  • Like
Likes   Reactions: Delta2
Physics news on Phys.org
Yes that looks correct to me. I would put the limits of the inner integral the other way around - highest on the top - because the integral you gave will give you a negative number. But the size will be correct, and that's what really matters.
 
andrewkirk said:
Yes that looks correct to me. I would put the limits of the inner integral the other way around - highest on the top - because the integral you gave will give you a negative number. But the size will be correct, and that's what really matters.
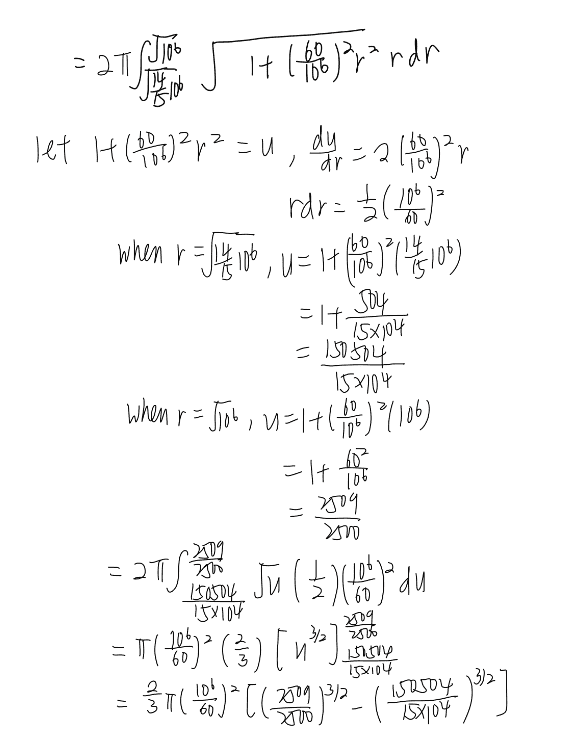
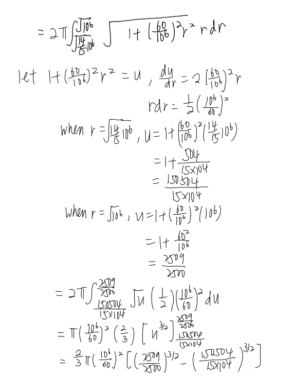
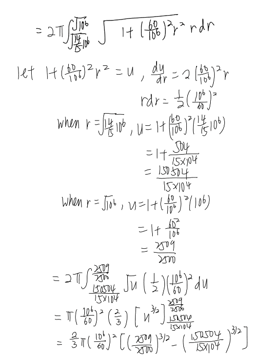
Ya, I changed the inner integral and tried to evaluate, seems hard to get a finite answer
1593830154785.png
 
The slope of the coast is quite small, so it will be very close to ##\Delta(\pi r^2)##
 
daphnelee-mh said:
Ya, I changed the inner integral and tried to evaluate, seems hard to get a finite answer
View attachment 265808
People are answering to you even when you have not posted in latex (that’s the spirit of PhysicsForums’ users) but as a friend believe me learning latex will help you in learning more and more from this forum. People will be able to answer you more instantly and willingly.

Hoping you’re in good health and safe.
 
  • Like
Likes   Reactions: Delta2

Similar threads

  • · Replies 7 ·
Replies
7
Views
3K
  • · Replies 14 ·
Replies
14
Views
3K
Replies
11
Views
3K
  • · Replies 7 ·
Replies
7
Views
3K
  • · Replies 3 ·
Replies
3
Views
2K
Replies
5
Views
2K
  • · Replies 3 ·
Replies
3
Views
2K
  • · Replies 7 ·
Replies
7
Views
2K
  • · Replies 1 ·
Replies
1
Views
3K
Replies
2
Views
1K