Using the solid angle to simplify an integral when deriving Gauss' Law

Click For Summary
SUMMARY

The discussion focuses on the derivation of Gauss's Law using the concept of solid angle. The key equation referenced is the electric flux equation, $$\Phi _e=\oint_{S}^{} \vec{E}\cdot d\vec{A}$$. Participants express confusion regarding skipped steps in the derivation and the application of solid angle in this context. Acknowledgment of vector calculus as a potential barrier to understanding is also noted, emphasizing the need for a stronger foundation in this area.

PREREQUISITES
  • Understanding of Gauss's Law and its mathematical formulation
  • Familiarity with solid angles and their significance in physics
  • Basic knowledge of vector calculus principles
  • Ability to interpret and manipulate integral equations
NEXT STEPS
  • Study the derivation of Gauss's Law in detail, focusing on each mathematical step
  • Learn about solid angles and their applications in electromagnetism
  • Enhance vector calculus skills, particularly in relation to surface integrals
  • Explore examples of electric flux calculations in various geometries
USEFUL FOR

Students of physics, particularly those studying electromagnetism, as well as educators and anyone seeking to deepen their understanding of Gauss's Law and its derivation.

cwill53
Messages
220
Reaction score
40
Homework Statement
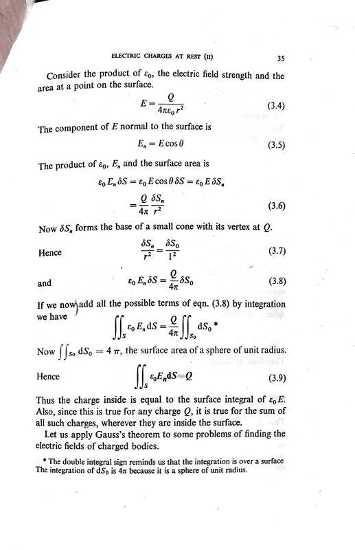
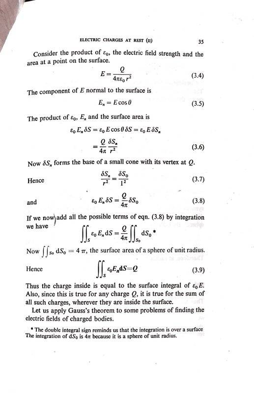
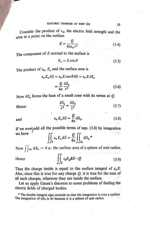
The following is a derivation of Gauss's Law using the solid angle.
Relevant Equations
$$\Phi _e=\oint_{S}^{} \vec{E}\cdot d\vec{A}$$
Scannable文档创建于2020年10月1日 下午4_46_48.jpg
Scannable文档 2创建于2020年10月1日 下午4_46_48.jpg


I'm a bit confused on the derivation above. I understand what the goal of the derivation is, as it derives Gauss's Law using the solid angle, but i was wondering if someone could kind of fill in the steps the author skipped and explain the use of the solid angle.
 
Physics news on Phys.org
cwill53 said:
Homework Statement:: The following is a derivation of Gauss's Law using the solid angle.
Relevant Equations:: $$\Phi _e=\oint_{S}^{} \vec{E}\cdot d\vec{A}$$

View attachment 270332View attachment 270333

I'm a bit confused on the derivation above. I understand what the goal of the derivation is, as it derives Gauss's Law using the solid angle, but i was wondering if someone could kind of fill in the steps the author skipped and explain the use of the solid angle.
It's fairly detailed. You will need to indicate where you think some steps have been missed.
 
  • Like
Likes   Reactions: cwill53
haruspex said:
It's fairly detailed. You will need to indicate where you think some steps have been missed.
Taking a look at it again, I believe my issues can be chalked up to vector calculus weakness. I'm trying to work through it all, it will just take time. I will ask again if I'm still confused after I strengthen my calculus.
 

Similar threads

  • · Replies 12 ·
Replies
12
Views
1K
  • · Replies 30 ·
2
Replies
30
Views
2K
  • · Replies 26 ·
Replies
26
Views
3K
Replies
1
Views
1K
Replies
5
Views
2K
Replies
3
Views
2K
Replies
1
Views
1K
  • · Replies 8 ·
Replies
8
Views
1K
Replies
21
Views
4K
  • · Replies 3 ·
Replies
3
Views
2K