Volume bounded by two surfaces, what am I missing?

Click For Summary

Homework Help Overview

The problem involves finding the volume of a solid bounded by the surfaces defined by the equations z=x^2+y^2 and z=8-x^2-y^2. The original poster expresses confusion regarding their approach and the discrepancy between their calculated volume and the textbook's answer.

Discussion Character

  • Exploratory, Assumption checking, Conceptual clarification

Approaches and Questions Raised

  • The original poster attempts to use a double integral to find the volume but questions why their result is half of the expected answer. They explore the implications of symmetry and the potential differences in volume between the two paraboloids.
  • Some participants point out a possible error in the original poster's calculations and suggest rechecking the setup. Others propose switching to polar coordinates as a potentially simpler method.

Discussion Status

The discussion is ongoing, with participants providing guidance and questioning the original poster's assumptions. There is acknowledgment of the need for careful calculation and consideration of symmetry in the problem.

Contextual Notes

The original poster mentions a concern about the implications of multiplying by 2 if the upper and lower surfaces are not equal, indicating a deeper exploration of the problem's geometric interpretation.

qq545282501
Messages
31
Reaction score
1

Homework Statement


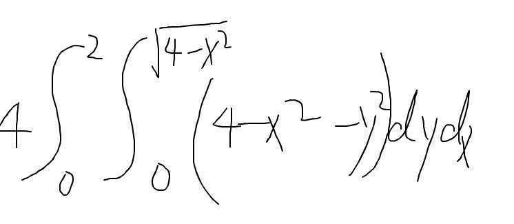
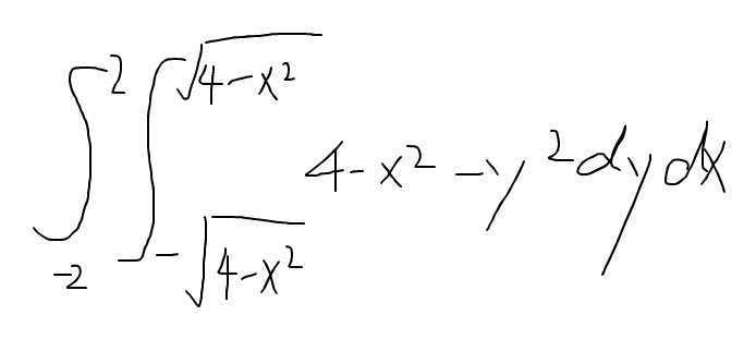
Find the volume of the solid bounded by z=x^2+y^2 and z=8-x^2-y^2

Homework Equations


use double integral dydx

the textbook divided the volume into 4 parts,

Snapshot.jpg

The Attempt at a Solution


[/B]
f(x)= 8-x^2-y^2-(x^2+y^2)= 4-x^2-y^2

Snapshot.jpg

i use wolfram and got 8 pi, the correct answer is 16 pi from the textbook.

I understood the textbook version, I see why its dividing into 4 parts since its symmetric about x and y axis, but I don't understand why my method is half of the correct volume. obviously I need to multiply my double integral by 2, but I just don't get the picture, I am confused, am I just getting the volume of the lower paraboloid with my setup like that?

what if the upper paraboloid has different volume as the lower paraboloid, for example, the upper function could be z=4x^2+y^2, then multiplying by 2 just doesn't make sense since the top and bottom are not equal to each other. can someone help me out, its been bothering me since yesterday.
 
Last edited by a moderator:
Physics news on Phys.org
Please don't use SIZE tags -- I have removed them from your post.

qq545282501 said:

Homework Statement


Find the volume of the solid bounded by z=x^2+y^2 and z=8-x^2-y^2

Homework Equations


use double integral dydx

the textbook divided the volume into 4 parts,

View attachment 91365

The Attempt at a Solution


[/B]
f(x)= 8-x^2-y^2-(x^2+y^2)= 4-x^2-y^2
The above is incorrect. ##8 - x^2 - y^2 - (x^2 + y^2) = 8 - 2x^2 - 2y^2##.
qq545282501 said:
View attachment 91364
i use wolfram and got 8 pi, the correct answer is 16 pi from the textbook.

I understood the textbook version, I see why its dividing into 4 parts since its symmetric about x and y axis, but I don't understand why my method is half of the correct volume. obviously I need to multiply my double integral by 2, but I just don't get the picture, I am confused, am I just getting the volume of the lower paraboloid with my setup like that?

what if the upper paraboloid has different volume as the lower paraboloid, for example, the upper function could be z=4x^2+y^2, then multiplying by 2 just doesn't make sense since the top and bottom are not equal to each other. can someone help me out, its been bothering me since yesterday.
 
  • Like
Likes   Reactions: qq545282501
Mark44 said:
Please don't use SIZE tags -- I have removed them from your post.

The above is incorrect. ##8 - x^2 - y^2 - (x^2 + y^2) = 8 - 2x^2 - 2y^2##.
oopz, my bad.
omg, no wonder why! I was reading the text and just copied that down without even checking it. Thank you so much!
 
Recheck the text. Possibly it was [itex]8- x^2- y^2- (x^2+ y^2)= 2(4- x^2- y^2)[/itex] and you missed the "2".
 
  • Like
Likes   Reactions: qq545282501
qq545282501 said:

Homework Statement


Find the volume of the solid bounded by z=x^2+y^2 and z=8-x^2-y^2

Homework Equations


use double integral dydx

the textbook divided the volume into 4 parts,

View attachment 91365

The Attempt at a Solution


[/B]
f(x)= 8-x^2-y^2-(x^2+y^2)= 4-x^2-y^2

View attachment 91364
i use wolfram and got 8 pi, the correct answer is 16 pi from the textbook.

I understood the textbook version, I see why its dividing into 4 parts since its symmetric about x and y axis, but I don't understand why my method is half of the correct volume. obviously I need to multiply my double integral by 2, but I just don't get the picture, I am confused, am I just getting the volume of the lower paraboloid with my setup like that?

what if the upper paraboloid has different volume as the lower paraboloid, for example, the upper function could be z=4x^2+y^2, then multiplying by 2 just doesn't make sense since the top and bottom are not equal to each other. can someone help me out, its been bothering me since yesterday.

It is a lot easier if you switch to polar coordinates for x and y; then you don't need to divide anything into parts, you just need to use the shell method.
 
HallsofIvy said:
Recheck the text. Possibly it was [itex]8- x^2- y^2- (x^2+ y^2)= 2(4- x^2- y^2)[/itex] and you missed the "2".
yes, you are right, i was not careful enough...
 
Ray Vickson said:
It is a lot easier if you switch to polar coordinates for x and y; then you don't need to divide anything into parts, you just need to use the shell method.
yes, indeed. Though, i was trying to make sure I got the concept down in my mind.
 

Similar threads

  • · Replies 9 ·
Replies
9
Views
3K
  • · Replies 19 ·
Replies
19
Views
3K
  • · Replies 2 ·
Replies
2
Views
2K
  • · Replies 2 ·
Replies
2
Views
2K
Replies
5
Views
2K
Replies
2
Views
1K
Replies
10
Views
2K
Replies
11
Views
3K
  • · Replies 2 ·
Replies
2
Views
3K
  • · Replies 1 ·
Replies
1
Views
2K