What is Factoring? Explaining Polynomial Factoring in Detail

  • Context: High School 
  • Thread starter Thread starter awholenumber
  • Start date Start date
  • Tags Tags
    Factoring
Click For Summary

Discussion Overview

The discussion centers around the concept of polynomial factoring, specifically how to express a polynomial as the product of two or more polynomials. Participants seek detailed explanations and resources related to this mathematical process.

Discussion Character

  • Homework-related, Conceptual clarification

Main Points Raised

  • One participant defines polynomial factoring as writing a polynomial as the product of two or more polynomials.
  • Another participant requests a detailed explanation of the steps involved in factoring a polynomial.
  • Several participants share external resources, including links to Khan Academy and Dummies, as helpful materials for understanding polynomial factoring.

Areas of Agreement / Disagreement

Participants generally agree on the need for resources and explanations regarding polynomial factoring, but there is no detailed consensus on the specific methods or steps involved in the process.

Contextual Notes

The discussion lacks specific examples or detailed methodologies for factoring polynomials, and the provided resources may vary in their approaches.

Who May Find This Useful

Students seeking to understand polynomial factoring, educators looking for teaching resources, and individuals interested in algebraic concepts.

awholenumber
Messages
200
Reaction score
10
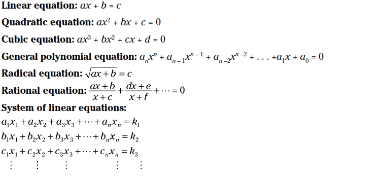
If you write a polynomial as the product of two or more polynomials, you have factored the polynomial.

equations.png


Here is an example:

algebraic_factors.png


how do i factor a polynomial ?

factoring_quadratic_equation.png


can somebody explain this step in detail ?
 
Last edited:
Mathematics news on Phys.org
Khan Academy has a whole series of videos on it:

https://www.khanacademy.org/math/algebra/polynomial-factorization
 
Thanks , i had to start somewhere :)
 
Thanks :)
 

Similar threads

  • · Replies 3 ·
Replies
3
Views
2K
  • · Replies 8 ·
Replies
8
Views
3K
  • · Replies 19 ·
Replies
19
Views
4K
  • · Replies 6 ·
Replies
6
Views
6K
  • · Replies 6 ·
Replies
6
Views
2K
  • · Replies 21 ·
Replies
21
Views
3K
  • · Replies 12 ·
Replies
12
Views
3K
  • · Replies 2 ·
Replies
2
Views
2K
  • · Replies 8 ·
Replies
8
Views
2K
  • · Replies 24 ·
Replies
24
Views
2K