What Is the Adjoint of the Curl Operator in Differential Equations?

  • Thread starter Thread starter shreddinglicks
  • Start date Start date
  • Tags Tags
    Operator
Click For Summary

Homework Help Overview

The discussion revolves around finding the adjoint operator of the curl operator in the context of differential equations. The original poster presents a problem involving the adjoint operator L* to the first order differential operator L = curl, and expresses confusion regarding the definitions and calculations involved.

Discussion Character

  • Exploratory, Assumption checking, Conceptual clarification

Approaches and Questions Raised

  • Participants discuss the definition of the adjoint operator in relation to the inner product and question the appropriate form of the inner product for vector-valued functions. There are inquiries about the domain of the operator and the implications of the variables involved, particularly regarding the dimensionality of the functions and the nature of the inner product.

Discussion Status

The discussion is ongoing, with participants exploring various interpretations of the problem. Some have suggested potential forms for the inner product and have raised concerns about the definitions used. There is no explicit consensus yet, but several participants are actively engaging with the problem and providing insights that may guide further understanding.

Contextual Notes

Participants note the ambiguity surrounding the domain ##\Omega## and its implications for the problem. There is also mention of the need for clarity in defining the inner product and the variables involved, as well as the challenges faced due to a lack of responsive guidance from the instructor.

shreddinglicks
Messages
225
Reaction score
7
1. The problem statement, all variables and given/k
Find the adjoint operator L* to the first order differential operator L = curl defined to domain omega. The full problem is attached.

Homework Equations

The Attempt at a Solution


I've checked online. I am getting two different answers. Is the solution the conjugate transpose or the adjugate matrix?
 

Attachments

  • Capture.PNG
    Capture.PNG
    19.5 KB · Views: 433
Physics news on Phys.org
Adjoint is defined relative to inner product. What is your inner product? I.e. your operator operates on some functions. What is the inner product of these functions? Also, what is domain ##\Omega##?
 
The inner product would be:

∫u(x)*v(x) dx from -∞<Ω<∞
 
In your scan I can see things being differentiated with respect to ##x, y, z## so how come your inner product is for functions of just one variable?

My strong suspicion is that ##\Omega## is the solid angle domain, which would make it two-dimensional. The reason I think so is because ##\mathbf{\nabla}\times\vec{r}=\vec{0}##, so the operator commutes with the 'position' operator, i.e. your ##L## operator acts on angles only.
 
Cryo said:
In your scan I can see things being differentiated with respect to ##x, y, z## so how come your inner product is for functions of just one variable?

My strong suspicion is that ##\Omega## is the solid angle domain, which would make it two-dimensional. The reason I think so is because ##\mathbf{\nabla}\times\vec{r}=\vec{0}##, so the operator commutes with the 'position' operator, i.e. your ##L## operator acts on angles only.
I'm not sure I understand. I see functions that have x as an independent variable, such as u(x) and v(x).
 
Your operator is curl ##\mathbf{L}=\mathbf{\nabla}\times.##. It acts on vector-valued functions. In your scan it is also shown that operator acts on functions of ##x,y, z##. So I would expect your functions, on which ##\mathbf{L}## acts, to be ##\mathbf{u}\left(\mathbf{r}\right)=\mathbf{u}\left(x, y, z\right)##, i.e. functions that take a position vector (##\mathbf{r}##) in, and give your some other vector (##\left(u_x, u_y, u_z\right)^T##) out.

Suitable candidate for the inner product is then:

##\langle \mathbf{u} | \mathbf{v}\rangle = \int d^3 r \, \mathbf{u}\left(\mathbf{r}\right)^{\dagger}.\mathbf{v}\left(\mathbf{r}\right)##,

but this is not the only candidate. Also, I am slightly worried by the fact that your domain is ##\Omega##. Often ##\Omega## means solid angle, which would suggest

##\langle \mathbf{u} | \mathbf{v}\rangle = \oint_\Omega d^2 \mathbf{\hat{r}} \, \mathbf{u}\left(\mathbf{r}\right)^{\dagger}.\mathbf{v}\left(\mathbf{r}\right)##

So how about defining the problem in a way that one does not have to guess?
 
Cryo said:
Your operator is curl ##\mathbf{L}=\mathbf{\nabla}\times.##. It acts on vector-valued functions. In your scan it is also shown that operator acts on functions of ##x,y, z##. So I would expect your functions, on which ##\mathbf{L}## acts, to be ##\mathbf{u}\left(\mathbf{r}\right)=\mathbf{u}\left(x, y, z\right)##, i.e. functions that take a position vector (##\mathbf{r}##) in, and give your some other vector (##\left(u_x, u_y, u_z\right)^T##) out.

Suitable candidate for the inner product is then:

##\langle \mathbf{u} | \mathbf{v}\rangle = \int d^3 r \, \mathbf{u}\left(\mathbf{r}\right)^{\dagger}.\mathbf{v}\left(\mathbf{r}\right)##,

but this is not the only candidate. Also, I am slightly worried by the fact that your domain is ##\Omega##. Often ##\Omega## means solid angle, which would suggest

##\langle \mathbf{u} | \mathbf{v}\rangle = \oint_\Omega d^2 \mathbf{\hat{r}} \, \mathbf{u}\left(\mathbf{r}\right)^{\dagger}.\mathbf{v}\left(\mathbf{r}\right)##

So how about defining the problem in a way that one does not have to guess?

I wish I could define it better for my understanding and yours. This is a homework problem from my online course. My teacher is unresponsive and seems to not care. I have gotten as far as I have by reading constantly. I can't find any info regarding this problem in my books.

I don't think omega is solid angle in this case.

What is d in your inner product?
 
Lets assume the first guess is correct. The inner product is ##\langle \mathbf{u} | \mathbf{v}\rangle = \int d^3 r \, \mathbf{u}\left(\mathbf{r}\right)^{\dagger}.\mathbf{v}\left(\mathbf{r}\right)##

The adjoint of ##\mathbf{L}##, which we shall denote ##\mathbf{L}^\dagger##, is defined by:

##\langle \mathbf{u} | \mathbf{L}\mathbf{v}\rangle=\langle\mathbf{L}^\dagger \mathbf{u} | \mathbf{v}\rangle##.

Integrating by parts (assuming ##\mathbf{u}\, \mathbf{v}## vanish at infinity):

##\langle \mathbf{u} | \mathbf{L}\mathbf{v}\rangle =\int d^3 r \, \mathbf{u}_\alpha^{\dagger}.\epsilon_{\alpha\beta\gamma}\partial_\beta\mathbf{v}_\gamma=-\epsilon_{\alpha\beta\gamma}\int d^3 r \, \partial_\beta \left(\mathbf{u}_\alpha^{\dagger}\right).\mathbf{v}_\gamma=\int d^3 r \, \epsilon_{\gamma\beta\alpha}\partial_\beta \left(\mathbf{u}_\alpha^{\dagger}\right).\mathbf{v}_\gamma=\int d^3 r \, \left(\mathbf{\nabla}\times\mathbf{u}^{\dagger}\right).\mathbf{v}=\langle \mathbf{L} \mathbf{u} | \mathbf{v}\rangle##

i.e. ##\mathbf{L}## is self-adjoint (for this inner product), so ##\mathbf{L}^\dagger=\mathbf{L}##. Above ##\epsilon_{\gamma\beta\alpha}## is the Levi-Civita (relative) tensor, and index repitition implies summation. If you are not confident with this notation, try doing integration by parts for all components of your operator independently, i.e. start with

##\langle \mathbf{u}_x | L_x\mathbf{v}\rangle + \langle \mathbf{u}_y | L_y\mathbf{v}\rangle + \langle \mathbf{u}_z | L_z\mathbf{v}\rangle =\int d^3 r \, u_x^{\dagger}.\left(\partial_y v_z - \partial_z v_y\right) + \dots = -\int d^3 r \, \partial_y u_x^{\dagger}.v_z + \int d^3 r \, \partial_z u_x^{\dagger}.v_y + \dots##
 
So I am integrating the transpose of each partial with each component of the curl?
 
  • #10
Lets look at the first term

##\int d^3 r u_x^\dagger \partial_y v_z = \int dx \int dz \int^\infty_{-\infty} dy u_x^\dagger \partial_y v_z = \int dx \int dz \int^\infty_{-\infty} dy \partial_y \left(u_x^\dagger v_z\right)-\int dx \int dz \int^\infty_{-\infty} dy \partial_y\left(u_x^\dagger\right) v_z= \int dx \int dz \left[u_x^\dagger v_z\right]^\infty_{-\infty}-\int dx \int dz \int^\infty_{-\infty} dy \partial_y\left(u_x^\dagger\right) v_z=0-\int d^3 r\, \partial_y\left(u_x^\dagger\right) v_z##

Do it for the other 5 terms of the full expression, and then re-build it into a curl and a dot-product
 
  • #11
I want to make sure I understand the notation.

ux is the adjoint?

what is d3?
 
  • #12
##d^3\vec r## is the volume element. In Cartesian coordinates, it's shorthand for ##dx\,dy\,dz##.

If ##\vec u## and ##\vec v## are real, and you represent them as two 3x1 matrices, then you can write the dot product in terms of matrix multiplication:
$$\vec u \cdot \vec v = \vec u^T \vec v.$$ If ##\vec u## and ##\vec v## are complex, then you need to also take the complex conjugate of ##\vec u##, so you'd have
$$\vec u \cdot \vec v = \vec u^\dagger \vec v,$$ where ##\dagger## means conjugate-transpose.

##u_x^\dagger## is the ##x## component of the adjoint, so it's really ##(\vec u^\dagger)_x = u_x^*##
 
  • Like
Likes   Reactions: Cryo
  • #13
I have to take the dot product of the conjugate transpose of each component of u and form a dot product u⋅v

Then take an inner product ∫dx∫dy∫dz(u⋅v)

I do this with each pair of u⋅v for components x,y,z?
 
  • #14
Let ##\mathbf{u}=\mathbf{\hat{x}}\left(u^{(r)}_x+i u^{(i)}_x\right) + \mathbf{\hat{y}}\left(u^{(r)}_y+i u^{(i)}_y\right) + \mathbf{\hat{z}}\left(u^{(r)}_z+i u^{(i)}_z\right) ##

Where ##u^{(r)}_x, u^{(i)}_x, u^{(r)}_y, \dots## are real-valued functions, ##\mathbf{\hat{x}}, \mathbf{\hat{y}}, \mathbf{\hat{z}}## are Cartesian unit vectors, and ##i^2=-1##. Let ##\mathbf{v}## be defined in the same way

Then ##\mathbf{u}^\dagger \mathbf{v}=\left(u^{(r)}_x-i u^{(i)}_x\right)\cdot\left(v^{(r)}_x+i v^{(i)}_x\right)+\left(u^{(r)}_y-i u^{(i)}_y\right)\cdot\left(v^{(r)}_y+i v^{(i)}_y\right)+\left(u^{(r)}_z-i u^{(i)}_z\right)\cdot\left(v^{(r)}_z+i v^{(i)}_z\right)##

Substitute this into the integral, and proceed.
 
  • #15
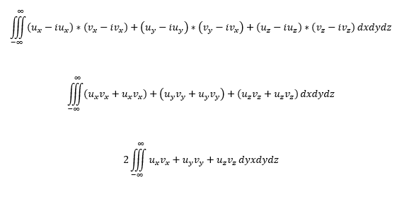
OK, so I have:

2∫∫∫dxdydz (uxvx)+(uyvy)+(uzvz)
 
  • #16
I cannot guess what you started with. Please provide your starting conditions, intermediate steps and result if you want me to check this. Also, please do so in LaTeX form, as did I, it makes it much easier to read.
 
  • #17
I can't seem to upload the images by copy and paste.

When I get to the third line, I am unsure how to proceed. If I integrate with respect to x the first term becomes uv but what about the other two terms?
https://www.physicsforums.com/file:///C:/Users/SOLIDW~1/AppData/Local/Temp/msohtmlclip1/01/clip_image004.pnghttps://www.physicsforums.com/file:///C:/Users/SOLIDW~1/AppData/Local/Temp/msohtmlclip1/01/clip_image006.png
 

Attachments

  • Capture.PNG
    Capture.PNG
    3.7 KB · Views: 370
  • #18
Why not use built-in LaTeX (https://www.physicsforums.com/help/latexhelp/)?

I don't understand. Why are you trying to integrate unknown functions ##u,v## (also you seem to have dropped my superscripts ##\dots^{(r,i)}## for some reason)? The aim, I thought, was to use integration by parts to find the adjoint of the curl-operator. You seem to be quite lost. Maybe it is better to drop the complicated 3d case, and go back to basics.

Consider one-dimensional functions, e.g. ##u=u\left(x\right)##, and operator ##p=\frac{d}{dx}##. Let the inner product of two functions be:

##\langle u | v \rangle=\int_{-\infty}^\infty dx\, u\left(x\right)^* v\left(x\right) ##, here ##\dots^*## denotes complex conjugation

Can you find the adjoint of ##p##? i.e. can you find ##p^{\dagger}## such that

##\langle p^\dagger u | v \rangle = \int dx\, p^\dagger u\left(x\right)^* v\left(x\right)=\langle u | p v \rangle = \int dx\, u\left(x\right)^* p v\left(x\right) = \int dx\, u\left(x\right)^* \frac{d v}{d x}\left(x\right)##

Assume all functions vanish as ##x\to\pm \infty## and use integration by parts (https://en.wikipedia.org/wiki/Integration_by_parts)
 

Similar threads

  • · Replies 4 ·
Replies
4
Views
2K
  • · Replies 9 ·
Replies
9
Views
2K
  • · Replies 5 ·
Replies
5
Views
2K
  • · Replies 2 ·
Replies
2
Views
4K
  • · Replies 8 ·
Replies
8
Views
2K
  • · Replies 4 ·
Replies
4
Views
2K
  • · Replies 7 ·
Replies
7
Views
2K
  • · Replies 1 ·
Replies
1
Views
1K
  • · Replies 2 ·
Replies
2
Views
2K
  • · Replies 5 ·
Replies
5
Views
2K