Prove Sturm-Liouville differential operator is self adjoint.

Click For Summary

Homework Help Overview

The discussion revolves around proving that the Sturm-Liouville differential operator is self-adjoint under various boundary conditions, including Dirichlet, Neumann, and mixed conditions. Participants are exploring the necessary definitions and conditions for self-adjointness in the context of differential equations.

Discussion Character

  • Exploratory, Conceptual clarification, Assumption checking

Approaches and Questions Raised

  • Some participants suggest that providing a complete statement of the problem, including definitions and boundary conditions, may help clarify the path forward. Others mention the importance of writing down what needs to be proven and considering integration by parts as a potential approach.

Discussion Status

The discussion is ongoing, with participants encouraging the original poster to clarify the problem statement and share relevant definitions. There is a recognition that additional context and information may facilitate a better understanding of the problem.

Contextual Notes

Participants note the absence of class notes and relevant textbook references, which may hinder the original poster's ability to provide complete information. There is an acknowledgment of the need for more detailed definitions and examples related to the boundary conditions involved.

shreddinglicks
Messages
225
Reaction score
7
Member warned that some effort must be shown on homework questions

Homework Statement


Prove Sturm-Liouville differential operator is self adjoint when subjected to Dirichlet, Neumann, or mixed boundary conditions.

Homework Equations


l = -(d/dx)[p(x)(d/dx)] + q(x)

The Attempt at a Solution


I have no idea. If someone can give me a place to start that would be awesome.
 
Physics news on Phys.org
shreddinglicks said:

Homework Statement


Prove Sturm-Liouville differential operator is self adjoint when subjected to Dirichlet, Neumann, or mixed boundary conditions.

Homework Equations


l = -(d/dx)[p(x)(d/dx)] + q(x)

The Attempt at a Solution


I have no idea. If someone can give me a place to start that would be awesome.
I haven't looked at that stuff for years, but my first suggestion to you is to give a more complete statement of the problem. By stating clearly what the problem is, you may see a way to solve it. For example, in the relevant equations you should list the various boundary conditions. Also give the definition of what it means for this differential operator to be self-adjoint. That will surely involve an integral or two. In other words, write down exactly what you need to prove. Once you carefully do that, if my memory serves me correctly, an integration by parts and using the BC's may solve your problem.
 
LCKurtz said:
I haven't looked at that stuff for years, but my first suggestion to you is to give a more complete statement of the problem. By stating clearly what the problem is, you may see a way to solve it. For example, in the relevant equations you should list the various boundary conditions. Also give the definition of what it means for this differential operator to be self-adjoint. In other words, write down exactly what you need to prove. Once you carefully do that, if my memory serves me correctly, an integration by parts and using the BC's may solve your problem.

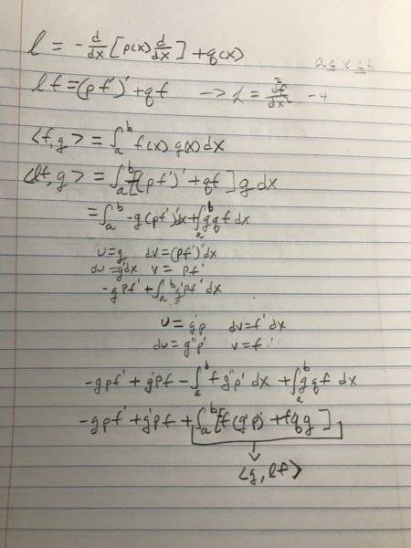
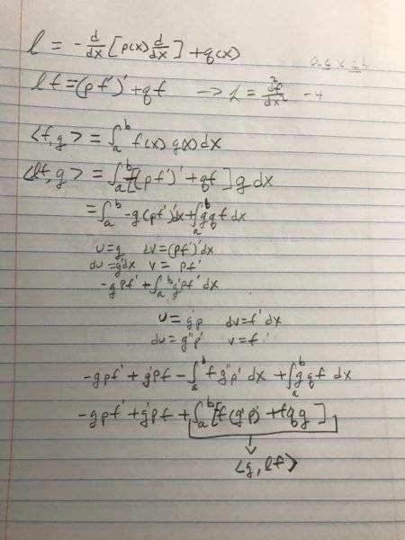
This is the complete statement of the problem that is on my homework sheet.

I looked over some examples I found through Google and came out with what is attached.

I'm going to do some research into the boundary conditions later. I need a little break from studying.
 

Attachments

  • IMG_0429.jpg
    IMG_0429.jpg
    34 KB · Views: 396
shreddinglicks said:
This is the complete statement of the problem that is on my homework sheet.

The homework helpers here don't have access to your class notes. You should post relevant definitions here.

I looked over some examples I found through Google and came out with what is attached.

I'm going to do some research into the boundary conditions later. I need a little break from studying.

That looks like the sort of thing I was suggesting.
 
LCKurtz said:
The homework helpers here don't have access to your class notes. You should post relevant definitions here.
That looks like the sort of thing I was suggesting.
I wish I had class notes, my teacher did not cover this and it's not in any textbook I have. If it seems I am on the right page then that's a relief.
 

Similar threads

Replies
11
Views
4K
  • · Replies 2 ·
Replies
2
Views
2K
  • · Replies 9 ·
Replies
9
Views
2K
  • · Replies 5 ·
Replies
5
Views
2K
  • · Replies 5 ·
Replies
5
Views
2K
Replies
17
Views
2K
  • · Replies 2 ·
Replies
2
Views
1K
  • · Replies 2 ·
Replies
2
Views
4K
  • · Replies 4 ·
Replies
4
Views
2K
  • · Replies 1 ·
Replies
1
Views
1K