What is the connection between sin and cos in Example 6.3.4?

  • Context: MHB 
  • Thread starter Thread starter Math Amateur
  • Start date Start date
  • Tags Tags
    Example
Click For Summary
SUMMARY

The discussion centers on Example 6.3.4 from "Introduction to Real Analysis" (Fourth Edition) by Robert G. Bartle and Donald R. Sherbert, specifically the relationship between the functions sin(x) and cos(x) as x approaches 0. Participants clarify that the equation $$\frac{ \text{ sin } x}{ \sqrt{x} } = \frac{ \text{ cos } x}{ 1/ (2 \sqrt{x}) }$$ does not imply equality of the two functions but rather indicates that they share the same limit as x approaches 0 using l'Hospital's rule. The confusion is resolved with a definitive explanation of the limit behavior of these functions.

PREREQUISITES
  • Understanding of limits in calculus
  • Familiarity with l'Hospital's rule
  • Basic knowledge of trigonometric functions
  • Experience with real analysis concepts
NEXT STEPS
  • Study the application of l'Hospital's rule in various limit problems
  • Explore the behavior of trigonometric functions near zero
  • Review the concepts of continuity and differentiability in real analysis
  • Examine additional examples in "Introduction to Real Analysis" for deeper understanding
USEFUL FOR

Students of real analysis, mathematics educators, and anyone seeking to deepen their understanding of limits and the behavior of trigonometric functions in calculus.

Math Amateur
Gold Member
MHB
Messages
3,920
Reaction score
48
I am reading "Introduction to Real Analysis" (Fourth Edition) by Robert G Bartle and Donald R Sherbert ...

I am focused on Chapter 6: Differentiation ...

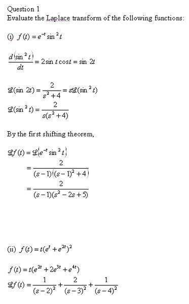
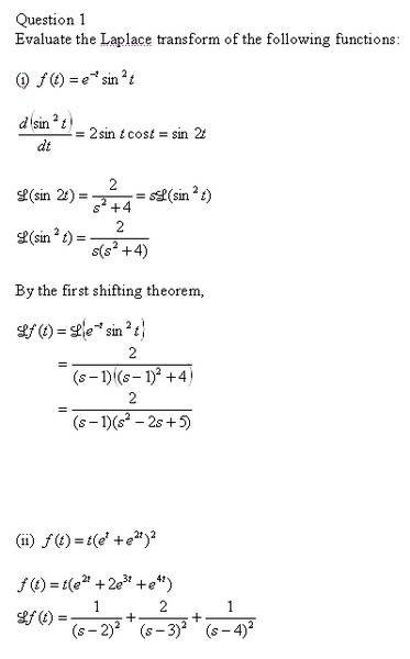
I need help in fully understanding the an aspect of Example 6.3.4 ...Example 6.3.4 ... reads as follows:View attachment 7305The above example implies that:

$$\frac{ \text{ sin } x}{ \sqrt{x} } = \frac{ \text{ cos } x}{ 1/ 2 \sqrt{x} } $$
Can someone please explain how/why this is true ...Peter
 
Physics news on Phys.org
Peter said:
The above example implies that:

$$\frac{ \text{ sin } x}{ \sqrt{x} } = \frac{ \text{ cos } x}{ 1/ (2 \sqrt{x}) } $$
Can someone please explain how/why this is true ...
No, the example does not imply that those two functions are the same. It just says that (by applying l'Hospital's rule) they have the same limit as $x\to0+$.
 
Opalg said:
No, the example does not imply that those two functions are the same. It just says that (by applying l'Hospital's rule) they have the same limit as $x\to0+$.
Oh! Of course ... how silly of me ...

Thanks Opalg ...

Peter
 

Similar threads

  • · Replies 6 ·
Replies
6
Views
2K
  • · Replies 3 ·
Replies
3
Views
2K
  • · Replies 1 ·
Replies
1
Views
2K
  • · Replies 2 ·
Replies
2
Views
2K
  • · Replies 2 ·
Replies
2
Views
2K
  • · Replies 2 ·
Replies
2
Views
2K
Replies
2
Views
2K
  • · Replies 2 ·
Replies
2
Views
1K
  • · Replies 3 ·
Replies
3
Views
2K
  • · Replies 5 ·
Replies
5
Views
2K