What is the equation of a tangent plane for the following values

  • Thread starter Thread starter mesa
  • Start date Start date
  • Tags Tags
    Plane Tangent
Click For Summary
SUMMARY

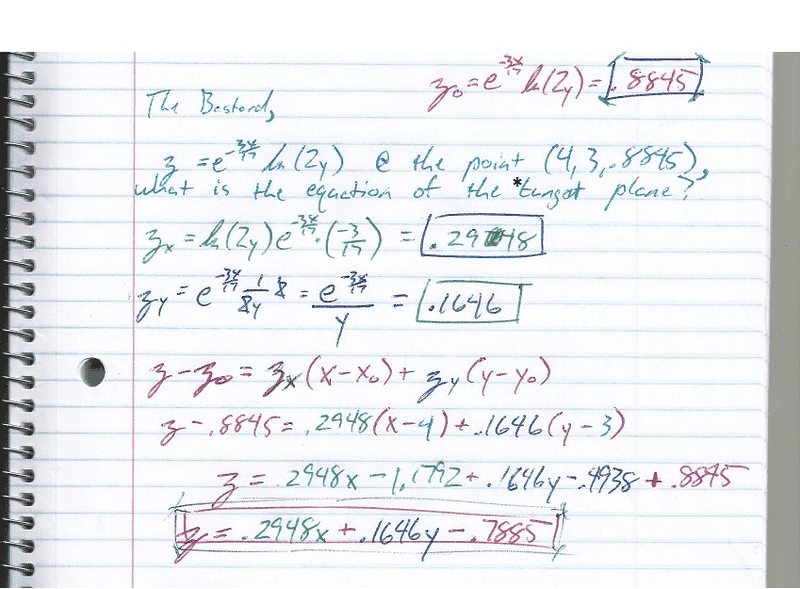
The discussion centers on the equation of a tangent plane in three-dimensional space, specifically expressed as (z - z0) = zx(x - x0) + zy(y - y0). This formula extends the point-slope form from ℝ2 to ℝ3 by utilizing derivatives along the x and y axes. Participants express confusion over arithmetic errors and seek clarification on the concept of a tangent plane. The conversation highlights the ease of translating concepts from lower to higher dimensions in calculus.

PREREQUISITES
  • Understanding of calculus, specifically derivatives and their applications.
  • Familiarity with the point-slope form of a linear equation in ℝ2.
  • Basic knowledge of three-dimensional geometry.
  • Ability to manipulate algebraic expressions and perform arithmetic operations accurately.
NEXT STEPS
  • Study the derivation of the tangent plane equation in multivariable calculus.
  • Learn about partial derivatives and their role in calculating tangent planes.
  • Explore applications of tangent planes in optimization problems.
  • Review examples of tangent planes in different coordinate systems, such as cylindrical and spherical coordinates.
USEFUL FOR

Students studying calculus, particularly those focusing on multivariable functions and their geometric interpretations, as well as educators seeking to clarify the concept of tangent planes in three-dimensional space.

mesa
Gold Member
Messages
694
Reaction score
36

Homework Statement


Homework Equations


The Attempt at a Solution


bastard_zpsc6f3d6c8.png


So I am not sure how many times I tried this thing but the final answer is still wrong. I am sure it is something simple, where did I goof it?

*and why do we call it a tangent plane?
 
Physics news on Phys.org
I can't really read it can you write it out in tex?
 
dirk_mec1 said:
I can't really read it can you write it out in tex?

Just bought some new color pens so that can make my notes a bit 'loud' although they are fun to write! :)

The problem is probably just my arithmetic so really isn't that big of a deal.

What I would like to go over is the 'tangent plane'. It seems the formula is just an extension from point slope form in ℝ2 brought onto 3 dimensional surfaces by taking advantage of the derivatives along each axis (x and y for this case). Let's take a look at it,

(z-zo) = zx(x-xo)+zy(y-yo)

We know we can calculate this equation to get 'z' but it would seem we could also do more with it if we have information for 'z', it's leading coefficient, and the point 'z0' to work out information on the other side of the equation. Very cool.

It is wonderful that this translates so well from point slope form and it would seem working with more dimensions (even if we can't 'see' them) would be pretty straightforward so long as when setting our equation = to 'z' (or whatever) our leading coefficient is divided through. Good stuff!
 

Similar threads

  • · Replies 1 ·
Replies
1
Views
1K
  • · Replies 3 ·
Replies
3
Views
2K
Replies
7
Views
2K
  • · Replies 4 ·
Replies
4
Views
2K
  • · Replies 9 ·
Replies
9
Views
3K
  • · Replies 6 ·
Replies
6
Views
2K
  • · Replies 6 ·
Replies
6
Views
2K
  • · Replies 14 ·
Replies
14
Views
2K
  • · Replies 12 ·
Replies
12
Views
2K
Replies
3
Views
2K