What is the kinetic energy of a proton when neutron decays?

Click For Summary

Homework Help Overview

The discussion revolves around the kinetic energy imparted to a proton during the decay of a neutron, specifically considering scenarios where the electron or neutrino has negligible kinetic energy. The subject area includes particle physics and energy conservation principles.

Discussion Character

  • Exploratory, Conceptual clarification, Mathematical reasoning, Problem interpretation, Assumption checking

Approaches and Questions Raised

  • Participants explore the implications of conservation of momentum and energy in the decay process. They question whether the kinetic energy of the proton can be considered negligible due to its mass compared to the other particles involved. Some suggest using momentum equations to derive the kinetic energy, while others discuss the assumptions made regarding the kinetic energies of the electron and neutrino.

Discussion Status

The discussion is ongoing, with various interpretations being explored. Some participants have provided guidance on how to approach the problem using energy and momentum conservation principles. There is a recognition of the complexity due to multiple unknowns, and participants are actively engaging with each other's reasoning.

Contextual Notes

There are assumptions about the negligible kinetic energy of the electron and neutrino, which are central to the problem. Participants also note the challenge of having multiple variables in the decay process, which complicates finding a unique solution.

llatosz
Messages
62
Reaction score
9

Homework Statement


What is the kinetic energy given to the proton in the decay of a neutron when:
a) The electron has negligibly small kinetic energy
b) The neutrino has negligibly small kinetic energy

Homework Equations


Q = (mn - mp - me - mv ) c2 = .782MeV

Where T is kinetic energy, and the neutron is at rest:
Q = Tp + Te + Tv

The Attempt at a Solution


Now my thoughts are similar for both part a) and b):
For a,
if the electron has zero kinetic energy, then by conservation of momentum, the proton and the neutrino must have equal and opposite momentums. But from lecture, my professor explicitly wrote:
Since mp >> me, and mp >> mv,
Tp << Te, and Tp << Tv, so the Q value is practically
shared between the electron and the neutrino.
and when Tv = 0, Te = Q

So is this a trick question then? Is the kinetic energy given to the proton always going to be essentially zero in part a) and b) , since it is so massive?
 
Physics news on Phys.org
llatosz said:
Is the kinetic energy given to the proton always going to be essentially zero
Perhaps, but you have enough information to find out, so try it.
 
  • Like
Likes   Reactions: llatosz
haruspex said:
Perhaps, but you have enough information to find out, so try it.
Are you sure? I have 2 unknowns. By conservation of momentum I have
mp vp = ∂v mv vv
But i don't know vp or vv. But wait! Could I maybe say:
P=momentum
Pp = -Pv = P , and then say
Q=Tp + Tv
Q=sqrt(P2c2 + mp2c4) + sqrt(P2c2 + mv2c4) = .782MeV
and then solve for P!? which i can then use to find just the kinetic energy of the proton!? :D
 
llatosz said:
Are you sure? I have 2 unknowns. By conservation of momentum I have
mp vp = ∂v mv vv
But i don't know vp or vv. But wait! Could I maybe say:
P=momentum
Pp = -Pv = P , and then say
Q=Tp + Tv
Q=sqrt(P2c2 + mp2c4) + sqrt(P2c2 + mv2c4) = .782MeV
and then solve for P!? which i can then use to find just the kinetic energy of the proton!? :D
Yes. If the electron has negligible KE then it certainly has negligible momentum.
 
  • Like
Likes   Reactions: llatosz
Awesome! I appreciate your help very much! I couldn't have done it without you!
 
haruspex said:
Yes. If the electron has negligible KE then it certainly has negligible momentum.
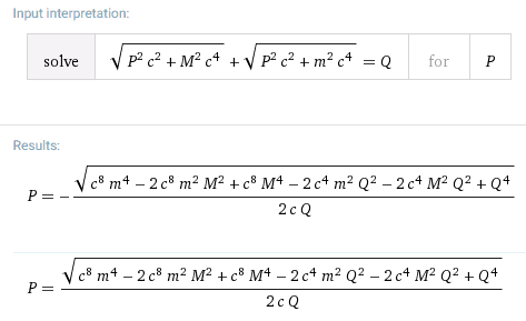
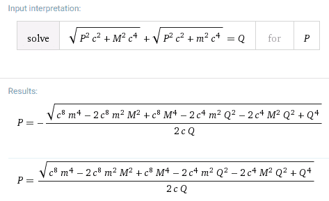
Actually, I am getting THIS so i want to convert my 0.782MeV into 8.395x10^-4 amu*c2 by dividing by 931.5. If i do this, my units of momentum would be mass and speed, which is good, right? Or do you think it changes things with all the exponents to the 8th, 4th, and 2nd mixed in?

wolfram.PNG
 
llatosz said:
Actually, I am getting THIS so i want to convert my 0.782MeV into 8.395x10^-4 amu*c2 by dividing by 931.5. If i do this, my units of momentum would be mass and speed, which is good, right? Or do you think it changes things with all the exponents to the 8th, 4th, and 2nd mixed in?

View attachment 114477
I am no quantum theorist so I may have this wrong, but it seems to me you already subtracted out rest mass energies to arrive at Q.
Shouldn't it be something like
##\Sigma \sqrt{(p_i c)^2+(m_i c^2)^2}## is constant, where the sum is over the particles, and the mi are their rest masses?
 
haruspex said:
I am no quantum theorist so I may have this wrong, but it seems to me you already subtracted out rest mass energies to arrive at Q.
Shouldn't it be something like
##\Sigma \sqrt{(p_i c)^2+(m_i c^2)^2}## is constant, where the sum is over the particles, and the mi are their rest masses?

Well wolfram is saying P equals a momentum of 4.89x1036 amu*(m/s)2 = 8.13x109 kg*(m/s)2 which does not seem reasonable because the proton is heavy and should not act relativistic... But i could be wrong about that. I am not very certain of these things either since I am in a class 2 semesters ahead of all the other classes I am in and i skipped the pre-requisites lol.
You are right, your equation
##\Sigma \sqrt{(p_i c)^2+(m_i c^2)^2}##
is correct, but in this case, there are only 2 particles, and their momentums must be equal so my equation that i asked wolfram to solve actually fits your generalized equation, and should be correct too.

But its 4:30am here so I am just about done with this problem anyway lol. Unless you have a breakthrough epiphany type of solution idea then i think i should be fine haha. I have the concept down much better now and I owe it all to you for helping me get to the realization of
llatosz said:
Q=sqrt(P2c2 + mp2c4) + sqrt(P2c2 + mv2c4) = .782MeV
and then solve for P!? which i can then use to find just the kinetic energy of the proton!? :D
and just a small numerical error shouldn't have me losing too many points
 
llatosz said:
my equation that i asked wolfram to solve actually fits your generalized equation, and should be correct too.
I still don't see that. What follows is for case (b).
I am saying
##m_Nc^2=\sqrt{(pc)^2+(m_Pc^2)^2}+\sqrt{(pc)^2+(m_ec^2)^2}+m_{\nu}c^2##
Not sure because I thought it was unclear whether neutrinos have mass.

Edit:
Since pc is to be found, we can write that in the form ##E=\sqrt{x+a}+\sqrt{x+b}##.
From that I get ##4E^2x=E^4-2E^2(a+b)+(a-b)^2##.
 
Last edited:
  • Like
Likes   Reactions: llatosz
  • #10
haruspex said:
I still don't see that. (What follows is for case (b). Not sure about (a) because I thought it was unclear whether neutrinos have mass.)
I am saying
##m_Nc^2=\sqrt{(pc)^2+(m_Pc^2)^2}+\sqrt{(pc)^2+(m_ec^2)^2}##
Oh that's interesting! so this equation says the rest energy of the neutrino equals the total energy of the proton plus the total energy of the electron?
 
  • #11
llatosz said:
Oh that's interesting! so this equation says the rest energy of the neutrino equals the total energy of the proton plus the total energy of the electron?
No, sorry, I made a mistake.
Correcting...

Ok, I've corrected it. mN is the rest mass of the neutron. But on the right I left out the rest mass of the neutrino... does it have any?
 
  • #12
Oh no worries at all. Maybe the N stood for neutron? But I have to get some sleep now. But please do continue i am very interested! I will be up in about 3 hours
 
  • #13
llatosz said:

Homework Statement


What is the kinetic energy given to the proton in the decay of a neutron when:
a) The electron has negligibly small kinetic energy
b) The neutrino has negligibly small kinetic energy

A suggestion about how to interpret this problem. The decay into three particles has too many variables to give a unique solution, hence the assumptions. In part a) you assume that the electron has no KE or momentum and, I suggest, assume that the neutrino has a velocity close to ##c##. This means that the energy and momentum of the neutrino are: ##E_{\nu} = \gamma mc^2## and ##p_{\nu} = \gamma mc##., hence ##E_{\nu} = cp_{\nu}##

This means that the neutrinos act like a photon in the energy-momentum equations and you don't need to know its small rest mass.

Part b) effectively means that no neutrino is produced, given that its rest mass, KE and momentum are negligible.
 
  • #14
llatosz said:
Are you sure? I have 2 unknowns. By conservation of momentum I have
mp vp = ∂v mv vv
But i don't know vp or vv. But wait! Could I maybe say:
P=momentum
Pp = -Pv = P , and then say
Q=Tp + Tv
Q=sqrt(P2c2 + mp2c4) + sqrt(P2c2 + mv2c4) = .782MeV
and then solve for P!? which i can then use to find just the kinetic energy of the proton!? :D

Another suggestion. In these problems, it's best to work with the energy and momentum for each particle and calculate the overall energy of the particle you want. If you split the energy into mass-energy and kinetic energy too early, it tends to get messy. Note that once you have got the energy of a particle, then you can get the KE simply by: ##T = E - mc^2##.

Finally, there is actually a fairly simple general solution to the problem of decay of a single particle into two. So, the answer here should not be too complicated (although it's not so easy to get to that simple answer). The trick here is see that in part a) the electron is at rest, so its mass can effectively simply be subtracted from that of the neutron. So, I would set the problem up as follows:

Energy conservation: ##E_n = E_e + E_p + E_{\nu}##, hence ##E_{\nu} = (E_n - E_e) - E_p = E_0 - E_p##

Where, for part a), I've used ##E_0 = E_n - E_e = (m_n - m_e)c^2## to keep the equations as simple as possible.

Then, I would square this equation to get:

##E_{\nu}^2 = E_0^2 + E_p^2 - 2E_0E_p##

Now, use conservation of momentum to aim for an equation for ##E_p##.
 
Last edited:
  • Like
Likes   Reactions: llatosz
  • #15
PeroK said:
assume that the neutrino has a velocity close to ##c##. This means that the energy and momentum of the neutrino are: ##E_{\nu} = \gamma mc^2## and ##p_{\nu} = \gamma mc##., hence ##E_{\nu} = cp_{\nu}##

This means that the neutrinos act like a photon in the energy-momentum equations and you don't need to know its small rest mass.
Okay I hear you out and I agree that the neutrino should have a velocity close to ##c##, but if we treat it like a photon, then
##E_{\nu} = cp_{\nu}## would become
##E_{\nu} = chf## where ##f## is the frequency of the photon.
How could we possibly know the frequency of the photon/neutrino?
 
  • #16
llatosz said:
Okay I hear you out and I agree that the neutrino should have a velocity close to ##c##, but if we treat it like a photon, then
##E_{\nu} = cp_{\nu}## would become
##E_{\nu} = chf## where ##f## is the frequency of the photon.
How could we possibly know the frequency of the photon/neutrino?

The energy and momentum of a particle are related by:

##E^2 = p^2c^2 + mc^4##

In the case of a truly massless particle or a particle of negligible mass, this reduces to:

##E^2 = p^2c^2##

This gives the energy of a photon (or a neutrino). There is absolutely no reason to start introducing the frequency of the photon (or neutrino) into the equation.
 
  • Like
Likes   Reactions: llatosz
  • #17
haruspex said:
I still don't see that. What follows is for case (b).

Edit:
Since pc is to be found, we can write that in the form ##E=\sqrt{x+a}+\sqrt{x+b}##.
From that I get ##4E^2x=E^4-2E^2(a+b)+(a-b)^2##.
Brilliant! Your math checks out
PeroK said:
The energy and momentum of a particle are related by:

##E^2 = p^2c^2 + mc^4##

In the case of a truly massless particle or a particle of negligible mass, this reduces to:

##E^2 = p^2c^2##

This gives the energy of a photon (or a neutrino). There is absolutely no reason to start introducing the frequency of the photon (or neutrino) into the equation.
You're right, I found that out. I already got my answers and I am confident in them. Thank you very much :)
 
  • #18
Summary for future readers looking for the guidance more consice:
Using these equations in the order they are written would be helpful for both parts but part A specifically
##Q=({\Delta}m)c^2 = .782##MeV
##Q = E_n = E_p + E_{e^-} + E_{\nu}##
##Q = E = \sqrt{x+a} + \sqrt{x+b} + d##
where ##x=(Pc)^2##, ##a=(m_pc^2)^2##, ##b=(m_{\nu}c^2)^2=0##, ##d=(m_{e^-}c^2)^2=.5114##MeV
The electron has only rest mass energy because its kinetic energy is said to be zero. ##Pc## is the same for both the proton and the neutrino because momentum must be conserved and equal if the electron has zero momentum.
Finally,
##(Pc)^2 = x = \frac{(a-d^2+2dE-E^2)^2}{4(d-E)^2}## and using momentum, one can find kinetic energy
All credit goes to haruspex and to PeroK.
PeroK has an excellent explanation on the final post on page 2 as well!
 
Last edited:
  • #19
llatosz said:
##Q=({\Delta}m)c^2 = .782##MeV
##Q = E_p + E_{e^-} + E_{\nu}##
No, that is not right. The total energy is conserved.
##E_N = E_p + E_{e^-} + E_{\nu}##
 
  • #20
haruspex said:
No, that is not right. The total energy is conserved.
##E_N = E_p + E_{e^-} + E_{\nu}##
Oh, thank you. Fixed.
Again though, thank you for all your help, you're a lifesaver. I understand how to use these equations so much better now
 
  • #21
The following is a standrad approach for decay into two particles (or three particles where one particle has no KE after the decay). Picking up from post #14:

##E_{\nu}^2 = E_0^2 + E_p^2 - 2E_0E_p##

##E_{\nu}^2 = E_0^2 + p_p^2c^2 + m_p^2c^4 - 2E_0E_p## (Equation (1))

Conservation of momentum: ##p_p = p_{\nu}##

##p_p^2c^2 = p_{\nu}^2c^2 = E_{\nu}^2##

Putting this into equation (1) and simplifying gives:

##E_p = \frac{E_0^2+ m_p^2c^4}{2E_0}##

With ##E_0 = (m_n - m_e)c^2## gives:

##E_p = \frac{(m_n - m_e)^2 - m_p^2}{2(m_n - m_e)}c^2##

And, using ##T_p = E_p - m_pc^2## gives:

##T_p = \frac{(m_n - m_e - m_p)^2}{2(m_n-m_e)}c^2##

Which gives the KE of the proton in terms of the particle masses only.

Note that if there were only two particles after decay (no electron in this case), then we would have ##E_0 = m_n c^2## and the same method would apply.

Note also that if you have the particle masses in ##MeV/c^2##, you can just plug those numbers into that equation to get the proton KE in ##MeV##.

This whole sequence is worth working through and remembering!
 
  • Like
Likes   Reactions: llatosz

Similar threads

  • · Replies 12 ·
Replies
12
Views
2K
Replies
5
Views
2K
  • · Replies 54 ·
2
Replies
54
Views
12K
  • · Replies 5 ·
Replies
5
Views
3K
  • · Replies 2 ·
Replies
2
Views
3K
  • · Replies 10 ·
Replies
10
Views
5K
  • · Replies 3 ·
Replies
3
Views
4K
  • · Replies 6 ·
Replies
6
Views
2K
Replies
8
Views
2K
  • · Replies 11 ·
Replies
11
Views
2K