wrongusername
- 58
- 0
Homework Statement
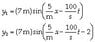
Two harmonic waves are described by (pic attached). What is the phase of the resultant wave when x = t = 0?
A. 3
B. 1
C. 4
D. 2
Homework Equations
[tex]y=Asin(kx-\omega(t)+\phi)[/tex] (Single wave equation)
[tex]y=2Asin(kx)cos(\omega(t))[/tex] (Standing wave equation)
The Attempt at a Solution
I originally chose D because the phase angle in the second equation was -2. However, then I thought about that fact that the question asked for the resultant wave. Thus, I was thinking that since both x and t are 0, the first wave equation reduces to 0 and the second to 7m sin(-2). Thus, the resultant wave equation should be only 7m sin(-2). Where do I got from there? (Is that even the correct thing to do?)
