When is the parallel axis theorem not appliable?

Click For Summary

Discussion Overview

The discussion revolves around the application of the parallel axis theorem in calculating the moment of inertia for a system consisting of a rod and a disk. Participants explore the discrepancies between two methods of calculating the moment of inertia and the conditions under which the parallel axis theorem may not apply.

Discussion Character

  • Technical explanation
  • Debate/contested
  • Mathematical reasoning

Main Points Raised

  • One participant presents a problem involving a rod and a disk, calculating the moment of inertia using both direct integration and the parallel axis theorem, noting a discrepancy between the two results.
  • Another participant requests clarification by asking for a picture of the apparatus and details on how the rod is attached to the disk.
  • A later reply suggests that the initial participant should expand their expressions and show the work to clarify the difference between the two calculations.
  • Another participant asserts that the terms involving ##R^3## should cancel out, implying that the initial calculations may have been misinterpreted.
  • A subsequent post acknowledges confusion and suggests that the participant was misled by the problem's answer, indicating a potential error in the sign of the ##R^3## term.
  • Another participant encourages following the basic derivation of the parallel axis theorem to understand the cancellation of terms.

Areas of Agreement / Disagreement

Participants express differing views on the application of the parallel axis theorem and the calculations involved. There is no consensus on the correctness of the initial calculations or the interpretation of the results.

Contextual Notes

Participants have not fully resolved the discrepancies in the calculations, and there are indications of missing assumptions or misunderstandings regarding the application of the parallel axis theorem.

Haorong Wu
Messages
422
Reaction score
90
TL;DR
When is the parallel axis theorem not appliable?
Hello, there. A friend asked me a problem last night.

Suppose that a system consists of a rod of length ##l## and mass ##m##, and a disk of radius ##R##. The mass of the disk is negligible. Now the system is rotating around an axis in the center of the disk and perpendicular to the plane where the rod and the disk lie in. What is the moment of inertia of the rod?

11.jpg


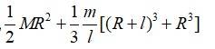
It is easy to have, by the definition,
##I=\int_R^{R+l} r^2 dm=\frac {m} {l}\int_R^{R+l} r^2 dr=\frac {m} {3l} [ \left (R+l \right ) ^3 -R^3 ]##.

Meanwhile, from the parallel axis theorem, I have
##I^{'}=\frac {ml^2} {12}+m (R+l/2)^2##.

Obviously, they do not match each other, since ##I## contains a term with ##R^3##, while ##I^{'}## does not.

I read the parallel axis theorem over and over again, but I could not see where I misunderstand.

Suppose a body of mass ##m## is rotated about an axis ##z## passing through the body's centre of mass. The body has a moment of inertia ##I_{cm}## with respect to this axis. The parallel axis theorem states that if the body is made to rotate instead about a new axis ##z^′ ## which is parallel to the first axis and displaced from it by a distance ##d##, then the moment of inertia ##I## with respect to the new axis is related to ##I_{cm}## by
##I=I_{cm}+md^2##.
Explicitly, ##d## is the perpendicular distance between the axes ##z## and ##z′##.
 
Last edited:
Physics news on Phys.org
Can you post a picture of the apparatus? How is the rod attached to the disk?
 
Leo Liu said:
Can you post a picture of the apparatus? How is the rod attached to the disk?
Hi, @Leo Liu . I update it. The rod just attach to the disk on its perimeter.
 
Haorong Wu said:
It is easy to have, by the definition,
##I=\int_R^{R+l} r^2 dm=\frac {m} {l}\int_R^{R+l} r^2 dr=\frac {m} {3l} [ \left (R+l \right ) ^3 -R^3 ]##.

Meanwhile, from the parallel axis theorem, I have
##I^{'}=\frac {ml^2} {12}+m (R+l/2)^2##.

Obviously, they do not match each other, since ##I## contains a term with ##R^3##, while ##I^{'}## does not.
It's not that obvious to me. Expand each expression and take the difference ##I-I'##. Show your work here to convince me that this difference is not equal to zero.
 
  • Like
Likes   Reactions: Leo Liu
Yes work it out. The ##R^3 ## terms clearly cancel.
 
Awkward. Thanks, @kuruman, and @hutchphd. I was misled by the answer along with the problem.
1111.jpg

It is clearly wrong. The plus sign should be a minus sign before ##R^3##.

I first tried it with the parallel axis theorem, and I could not find the ##R^3## term, so I got lost.
 
Haorong Wu said:
I first tried it with the parallel axis theorem, and I could not find the R3 term
Perhaps if you follow the basic derivation of the PAT you will find a similar cancellation of R3 terms.
 

Similar threads

  • · Replies 2 ·
Replies
2
Views
1K
  • · Replies 10 ·
Replies
10
Views
2K
  • · Replies 28 ·
Replies
28
Views
2K
  • · Replies 2 ·
Replies
2
Views
2K
  • · Replies 12 ·
Replies
12
Views
2K
  • · Replies 1 ·
Replies
1
Views
10K
  • · Replies 1 ·
Replies
1
Views
1K
  • · Replies 17 ·
Replies
17
Views
3K
  • · Replies 6 ·
Replies
6
Views
2K
  • · Replies 2 ·
Replies
2
Views
2K