Why Does a Magnetic Field Do Zero Work?

Click For Summary
SUMMARY

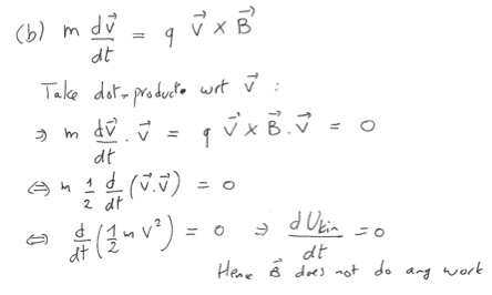
The discussion centers on the proof that a magnetic field does zero work, specifically referencing the equation \(\vec{B}\cdot\textit{d}\vec{l}=0\). A participant expresses confusion regarding the introduction of a factor of one-half in the derivation of the equation for change in kinetic energy equating to zero. The proof utilizes the product rule of differentiation, leading to the expression \(d(v\cdot v)/dt = 2 v\cdot dv/dt\) to clarify the relationship between velocity and kinetic energy in the context of magnetic fields.

PREREQUISITES
  • Understanding of vector calculus, particularly the product rule of differentiation.
  • Familiarity with the principles of electromagnetism, specifically the behavior of magnetic fields.
  • Knowledge of kinetic energy equations and their derivations.
  • Basic grasp of physics notation and terminology related to motion and forces.
NEXT STEPS
  • Review the product rule in vector calculus for deeper comprehension.
  • Study the principles of electromagnetism, focusing on the work-energy theorem in magnetic fields.
  • Examine the derivation of kinetic energy equations in classical mechanics.
  • Explore additional proofs regarding magnetic fields and their effects on charged particles.
USEFUL FOR

Students preparing for physics exams, educators teaching electromagnetism, and anyone seeking to understand the implications of magnetic fields on kinetic energy and motion.

conorordan
Messages
11
Reaction score
0

Homework Statement



This isn't strictly homework, I'm going over my lecturer's notes before the exam and I don't understand a part of this proof for magnetic fields doing no work.

This is the second proof he gave, the first being the more standard [itex]\vec{B}\cdot\textit{d}\vec{l}=0[/itex]

Homework Equations



So in the second proof he does it like this;

I0bwTNq.png

I cannot figure out where he gets the factor of a half in the third line, to make the equation come out as change in kinetic energy = 0.
 
Physics news on Phys.org
hi conorordan! :smile:
conorordan said:
I cannot figure out where he gets the factor of a half in the third line

product rule

d(v·v)/dt = v·dv/dt + dv/dt·v = 2 v·dv/dt :wink:
 

Similar threads

Replies
1
Views
3K
Replies
5
Views
2K
Replies
2
Views
1K
  • · Replies 7 ·
Replies
7
Views
2K
  • · Replies 6 ·
Replies
6
Views
2K
Replies
12
Views
2K
  • · Replies 25 ·
Replies
25
Views
2K
Replies
2
Views
2K
Replies
3
Views
2K
Replies
11
Views
3K