Why Does the Convection Heat Transfer Coefficient Vary with Temperature?

  • Thread starter Thread starter theBEAST
  • Start date Start date
  • Tags Tags
    Convection
Click For Summary
SUMMARY

The convection heat transfer coefficient (h) is not a constant and varies with temperature, particularly in real-world applications where flow conditions change. In scenarios with constant flow, h can be treated as constant, but this is not universally applicable. The discussion highlights the importance of understanding the relationship between temperature and h, emphasizing that variations occur due to changes in fluid properties and flow dynamics.

PREREQUISITES
  • Understanding of fluid dynamics principles
  • Knowledge of heat transfer mechanisms
  • Familiarity with the concept of convective heat transfer coefficients
  • Basic thermodynamics concepts
NEXT STEPS
  • Research the impact of temperature on convective heat transfer coefficients
  • Study the differences between forced and natural convection
  • Explore the use of empirical correlations for calculating h in various fluids
  • Learn about the Reynolds number and its effect on flow regimes
USEFUL FOR

Mechanical engineers, thermal system designers, and students studying heat transfer and fluid dynamics will benefit from this discussion.

theBEAST
Messages
361
Reaction score
0

Homework Statement


I have a question about part b for this question:
rDSwksQ.png


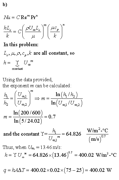
In the solution apparently h1 and h2 are a function of temperature as shown here:
Enib80a.png


However, I thought the convection heat transfer coefficient is a constant. I have done some problems where it is constant but in this case it is not. Does anyone know why? When is it constant and when is it not?
 
Physics news on Phys.org
Moderator's note: thread moved from Intro Physics to Engineering.

(Hopefully somebody can help out.)
 
In real world situations, the convective heat transfer coefficient is not going to be constant unless the flow is constant. Maybe you can cite some examples of where it was treated as constant.

Chet
 

Similar threads

  • · Replies 4 ·
Replies
4
Views
2K
Replies
14
Views
3K
  • · Replies 1 ·
Replies
1
Views
4K
  • · Replies 4 ·
Replies
4
Views
3K
  • · Replies 6 ·
Replies
6
Views
3K
  • · Replies 3 ·
Replies
3
Views
3K
Replies
1
Views
2K
  • · Replies 1 ·
Replies
1
Views
2K
  • · Replies 1 ·
Replies
1
Views
3K
  • · Replies 3 ·
Replies
3
Views
2K