Why does this equation not give me the ionization energy of lithium?

Click For Summary

Discussion Overview

The discussion revolves around the calculation of the first ionization energy of lithium using a specific equation derived from the Bohr model. Participants explore the applicability of this model to multi-electron atoms and seek clarification on the limitations and alternative approaches for calculating ionization energy.

Discussion Character

  • Exploratory, Technical explanation, Debate/contested

Main Points Raised

  • One participant attempts to calculate the ionization energy of lithium using the Bohr model but finds discrepancies in the expected value.
  • Another participant points out the limitations of the Bohr model, particularly its failure to accurately describe multi-electron atoms.
  • A participant suggests that the equation used is applicable only to hydrogen-like ions, specifically mentioning Li2+ as an example.
  • There is a suggestion that calculating ionization energy for elements other than hydrogen may not be feasible without advanced computational methods.
  • One participant proposes an alternative approach of measuring ionization energy and calculating the quantum defect to understand periodic trends.

Areas of Agreement / Disagreement

Participants generally agree on the limitations of the Bohr model for multi-electron atoms, but there is no consensus on the existence of a reliable equation for calculating the first ionization energy of lithium or other elements.

Contextual Notes

The discussion highlights the dependence on the Bohr model's assumptions and the challenges in applying it to elements beyond hydrogen. There is also mention of the need for computational methods to obtain accurate results.

patric44
Messages
308
Reaction score
40
Homework Statement
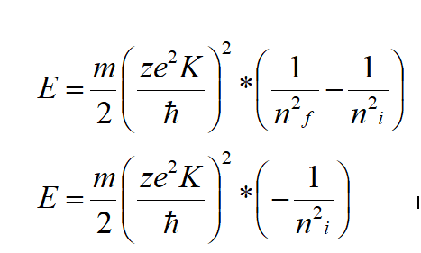
i want to find the first ionization energy for lithium using Bohr formula but something seems wrong !
Relevant Equations
Bohr energy equation
i am trying to calculate the first ionization energy for lithium with this equation but it seems to work only with hydrogen ?
i put nf = infinity and ni =2 ,and z = 3 for lithium and it gives about 30 ev not 5.39172 ev which is the value for lithium :

fgdf.png

i will appreciate any help in this
 
Physics news on Phys.org
There are some limitations to the Bohr model, do you know them?
 
Borek said:
There are some limitations to the Bohr model, do you know them?
i know that it failed to describe the experimental results for multi electron atoms :smile: ,
so what equation is being used for finding the ionization energy ?
because every where i look online it seems that people uses that equation ?!
 
Look up "Rydberg atom". Your equation is for a hydrogen-like ion, with 1 electron, i.e. Li2+.
 
mjc123 said:
Look up "Rydberg atom". Your equation is for a hydrogen-like ion, with 1 electron, i.e. Li2+.
thanks i got it now , so i am assuming that there is no equation that could calculate the first ionization energy of a specific element except hydrogen ?!
or even approximately at least ?
 
Not really, without computer number-crunching. Practically, I think it would work the other way round - measure the ionisation energy, calculate the quantum defect, compare periodic trends and see what that tells you about the orbitals.
 

Similar threads

  • · Replies 8 ·
Replies
8
Views
10K
  • · Replies 4 ·
Replies
4
Views
3K
  • · Replies 1 ·
Replies
1
Views
3K
  • · Replies 3 ·
Replies
3
Views
68K
  • · Replies 2 ·
Replies
2
Views
61K
  • · Replies 0 ·
Replies
0
Views
2K
  • · Replies 4 ·
Replies
4
Views
3K
  • · Replies 4 ·
Replies
4
Views
7K
  • · Replies 9 ·
Replies
9
Views
2K
Replies
8
Views
2K