Why is Implicit Differentiation Different from Explicit Differentiation?

Click For Summary
SUMMARY

This discussion focuses on the differences between implicit and explicit differentiation, particularly in the context of finding tangent lines to curves defined by equations. The user compares two problems: one involving explicit differentiation with the function f(x) = x^3 - 9x^2 - 16x and the other involving implicit differentiation with the equation x^2 - 4x + y^2 + 1 = 0. Key insights include the necessity of rearranging implicit equations to isolate variables and the realization that implicit functions do not conform to the standard form f(x) = y, complicating the differentiation process.

PREREQUISITES
  • Understanding of implicit differentiation and its application
  • Familiarity with explicit functions and their derivatives
  • Knowledge of tangent lines and their equations
  • Basic algebraic manipulation skills to rearrange equations
NEXT STEPS
  • Study the process of implicit differentiation in detail
  • Learn how to rearrange implicit equations to isolate y
  • Explore the concept of tangent lines in calculus
  • Practice solving problems involving both implicit and explicit differentiation
USEFUL FOR

Students and educators in calculus, particularly those grappling with the concepts of implicit versus explicit differentiation and their applications in finding tangent lines to curves.

LearninDaMath
Messages
295
Reaction score
0

Homework Statement




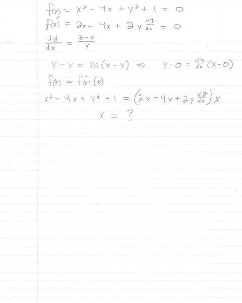
Find the equations of the lines that pass through (0,0) and are tangent to x^2 - 4x + y^2 + 1 = 0


My confusion

I've been given a problem of this sort recently, except now it involves implicit differentiation. I know "how" to get to the correct answer. I just don't "understand" what's going on as I'm getting to the correct answer.

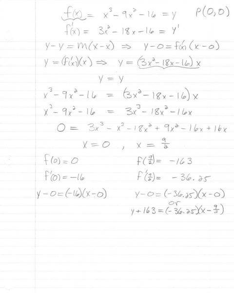
The problem I had recently was: Find the equations of the lines that pass through (0,0) and are tangent to "f(x) = x^3 - 9x^2 - 16x = y

When comparing these two problems, the process of finding the answer seems to be different, however, the question is essentially asking the same exact thing in both problems. So I must not be seeing "how" the process of solving each is actually similar or the same.

Here is the first one that I solved:

implicita.jpg



However, when I follow the same exact process for the current problem involving implicit differentiation, I get this:


implicitc.jpg




In the first problem, I am supposed to be looking for the equation of a line: (y-y)=m(x-x) and it becomes f(x) = (f'(x))(x)

However, the case of implicit differentiation does not seem to want to follow the same process, which leads me to the observation that:

in the first non implicit problem, f(x) = x^3 - 9x^2 - 16x fits neatly into the left side of equation y=f'x(x)

while

in the implicit problem f(x) = x^2 - 4x + y^2 + 1 = 0 does not fit neatly into the left side of equation y=f'x(x)

Why does f(x) = x^2 - 4x + y^2 + 1 = 0 not fit neatly into the left side of equation y = f'x(x) ? I thought that f(x) always equals y, since the equation for a function seems to always be expressed as "f(x) = y"
-----------------------------

Also, in the non implicit problem, f'(x) = 3x^2 - 18x - 16 seems to fit neatly into the m term of y=f'x(x)

while

in the implicit problem, f'(x) = 2x - 4 + 2y(dy/dx) = 0 does not fit neatly into the m term of y = f'x(x)

Why does f'(x) = 2x - 4 + 2y(dy/dx) = 0 not fit neatly in m? I thought that f'(x) was supposed to represent the slope of the tangent, thus fitting neatly into the m term (since it works that way in the non implicit problem).
------------------------------

Is it the fact that the equation is set equal to zero in the implicit problem while the function in the first problem is not set equal to zero? Does that have any impact on the process of solving this problem, if so, what impact does the zero have?

Is it the fact that there are x's and y's together in the implicit problem that is the factor that doesn't allow the entire f'x to fit neatly into the m term?

Why must we change the functions in order to arrive at the correct x value?
 
Physics news on Phys.org


You write, repeatedly, "f(x)" while there is no such "f". y is NOT a function of x.
 


HallsofIvy said:
You write, repeatedly, "f(x)" while there is no such "f". y is NOT a function of x.

This was a very confusing problem as it is. But the fact that I didn't understand that if an equation is in terms of both x and y's on one side, then it can't be considered a function of the form "f(x) = y. Thus its no wonder why it does fit so neatly. I would either have to get everything in terms of x before taking the derivative...or, as an easier route, i could do some substitution to solve for x. Once I solve for x, I then need to find y. Once I have both x and y values, I can then find the slope value. Then, the equation of the line(s) can be formed.

Thanks
 

Similar threads

  • · Replies 6 ·
Replies
6
Views
2K
  • · Replies 1 ·
Replies
1
Views
1K
  • · Replies 2 ·
Replies
2
Views
2K
  • · Replies 15 ·
Replies
15
Views
2K
  • · Replies 2 ·
Replies
2
Views
2K
  • · Replies 6 ·
Replies
6
Views
2K
Replies
8
Views
2K
  • · Replies 3 ·
Replies
3
Views
2K
  • · Replies 5 ·
Replies
5
Views
2K
Replies
10
Views
2K