Why Is My Calculated Debye Temperature for Sodium Higher Than Literature Values?

Click For Summary

Homework Help Overview

The discussion revolves around the calculation of the Debye temperature for sodium (Na), which has a body-centered cubic (bcc) structure. The original poster has calculated a Debye temperature of 280.3K, which significantly differs from the literature value of approximately 150K. Participants are exploring potential discrepancies in the calculations and the underlying assumptions.

Discussion Character

  • Exploratory, Assumption checking, Conceptual clarification

Approaches and Questions Raised

  • Participants are questioning the accuracy of the original poster's calculations and whether the formula used is appropriate for a bcc structure. There are discussions about the implications of using different parameters, such as the number of atoms per unit cell and the relationship between density and molecular weight.

Discussion Status

Some participants have confirmed that the calculations appear arithmetically correct but are raising concerns about the assumptions made in the formula. There is an ongoing exploration of how the properties of sodium, particularly its structure, may affect the Debye temperature calculation.

Contextual Notes

Participants are considering the implications of using different values and definitions in the calculation, particularly regarding the number of atoms in the unit cell and the accuracy of the parameters used. There is no consensus on the resolution of the discrepancies noted.

MMS
Messages
146
Reaction score
4

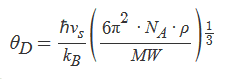
Homework Statement


Na has a bcc structure with molecular mass of 22.99 gr/mol, mass density of 0.971 gr/cm^3.
The average speed of sound in Na (at room temperature=300K) is 3200 m/s.
Calculate the Debye temperature for Na

Homework Equations


I worked out this equation to calculate the Debye temperature (If needed I can show how)
XzxlsHT.png

The Attempt at a Solution


I plugged in all the numbers in the above equation with the correct units and I get that the Debye temperature is 280.3K. However, in literature I found that it is approximately 150K.
Is there something wrong with my calculations? Am I missing out on something here?

Thank you!
 
Physics news on Phys.org
MMS said:

Homework Statement


Na has a bcc structure with molecular mass of 22.99 gr/mol, mass density of 0.971 gr/cm^3.
The average speed of sound in Na (at room temperature=300K) is 3200 m/s.
Calculate the Debye temperature for Na

Homework Equations


I worked out this equation to calculate the Debye temperature (If needed I can show how)
XzxlsHT.png

The Attempt at a Solution


I plugged in all the numbers in the above equation with the correct units and I get that the Debye temperature is 280.3K. However, in literature I found that it is approximately 150K.
Is there something wrong with my calculations? Am I missing out on something here?

Thank you!
Please provide your calculations.
 
SteamKing said:
Please provide your calculations.
BnOvrQ7.png
 
MMS said:
BnOvrQ7.png
No, I meant your numbers.
 
SteamKing said:
No, I meant your numbers.
ShjbCQo.png
 
Anyone?
 
MMS said:
Anyone?
Your calculations are arithmetically correct, as far as I can see.

It's not clear that NA ⋅ ρ / MW is an accurate substitute for the N / V which is used in other Debye Temperature derivations I have seen. Your expression doesn't seem to account for the fact that since sodium is bcc, there are two atoms per cell, rather than one. It makes a difference in calculating the edge length of the cell.

I think for calculating a reasonable approximation to the Debye Temp., this is the issue which must be resolved. In some articles I have seen, the authors try to use the properties of the material measured close to the Debye Temp., like the speed of sound and the density, to come up with a more accurate calculation.
 

Similar threads

  • · Replies 2 ·
Replies
2
Views
6K
  • · Replies 1 ·
Replies
1
Views
5K
  • · Replies 1 ·
Replies
1
Views
3K
  • · Replies 1 ·
Replies
1
Views
2K
  • · Replies 1 ·
Replies
1
Views
11K
  • · Replies 3 ·
Replies
3
Views
5K
  • · Replies 10 ·
Replies
10
Views
4K
  • · Replies 4 ·
Replies
4
Views
4K
  • · Replies 1 ·
Replies
1
Views
10K
  • · Replies 3 ·
Replies
3
Views
6K