Why Is There a Negative Sign in the Modal Impedance of TEn Mode?

Click For Summary
SUMMARY

The discussion centers on the negative sign in the modal impedance of the TEn mode in a parallel plate waveguide. The negative sign arises from the need to maintain a positive wave impedance, which is derived from Maxwell's equations. Specifically, the relationship between the electric and magnetic field components necessitates the inclusion of this negative sign. Understanding this concept is crucial for accurate analysis in electromagnetic field propagation.

PREREQUISITES
  • Maxwell's equations
  • Electromagnetic field theory
  • Waveguide theory
  • Understanding of modal impedance
NEXT STEPS
  • Study the derivation of wave impedance from Maxwell's equations
  • Explore the concept of modal analysis in waveguides
  • Investigate the role of the reflection coefficient in wave propagation
  • Learn about different modes in parallel plate waveguides
USEFUL FOR

Electrical engineers, physicists, and students studying electromagnetic theory, particularly those focused on wave propagation in waveguides.

Brianrofl
Messages
21
Reaction score
0
Hi, I'm working on a parallel plate wave guide for wave propagation and had a question about it. Here's a quick diagram:

Capture.PNG


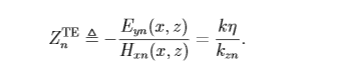
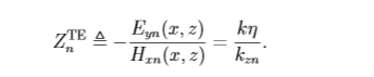
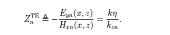
While analyzing an EM field polarized in the y-direction, the modal impedance of the TEn mode comes out to be:

Capture.PNG


Why is that negative sign there? If someone could just explain where that negative sign comes from I'd appreciate it greatly. Does it have to do with the reflection coefficient?
 
Physics news on Phys.org
Brianrofl said:
Hi, I'm working on a parallel plate wave guide for wave propagation and had a question about it. Here's a quick diagram:

View attachment 97051

While analyzing an EM field polarized in the y-direction, the modal impedance of the TEn mode comes out to be:

View attachment 97052

Why is that negative sign there? If someone could just explain where that negative sign comes from I'd appreciate it greatly. Does it have to do with the reflection coefficient?
You have to go back to Maxwell's equations to get the relation between components of the electric and magnetic fields. In order to get the wave impedance positive the minus sign has to be used.
 
  • Like
Likes   Reactions: Brianrofl

Similar threads

  • · Replies 1 ·
Replies
1
Views
4K
  • · Replies 11 ·
Replies
11
Views
2K
  • · Replies 1 ·
Replies
1
Views
2K
  • · Replies 4 ·
Replies
4
Views
2K
  • · Replies 15 ·
Replies
15
Views
3K
Replies
9
Views
3K
  • · Replies 18 ·
Replies
18
Views
3K
  • · Replies 1 ·
Replies
1
Views
2K
  • · Replies 1 ·
Replies
1
Views
2K
  • · Replies 14 ·
Replies
14
Views
2K