Why Need Covarient Form of Electrodynamics?

  • Context: High School 
  • Thread starter Thread starter physicist 12345
  • Start date Start date
  • Tags Tags
    Electrodynamics Form
Click For Summary

Discussion Overview

The discussion centers around the need for a covariant formulation of electrodynamics, particularly in relation to the continuity equation and Maxwell's equations. Participants explore the implications of using 4-vectors and 4-scalars versus traditional 3-vectors and 3-scalars, examining the benefits and potential simplifications offered by the covariant approach.

Discussion Character

  • Exploratory
  • Technical explanation
  • Debate/contested

Main Points Raised

  • Some participants question the necessity of a covariant formulation if Maxwell's equations already maintain their form across different frames.
  • Others argue that a covariant formulation simplifies transformations and makes Lorentz invariance more explicit.
  • There is a discussion about the advantages of brevity and the ability to use any coordinate system when employing covariant forms.
  • Some participants highlight that the covariant form allows for a more unified representation of quantities, such as using a single symbol for current density.
  • Concerns are raised about the interpretation of components in the covariant form versus the traditional form, particularly regarding the relationship between charge density and current density.

Areas of Agreement / Disagreement

Participants express differing views on the necessity and advantages of covariant formulations, indicating that multiple competing perspectives remain without a clear consensus.

Contextual Notes

Participants note that the discussion involves assumptions about the definitions of covariant forms and the implications of using different mathematical representations. Some points remain unresolved, particularly regarding the specific benefits of the covariant approach compared to traditional methods.

physicist 12345
Messages
30
Reaction score
1
hello this is my first topic here and i hope good discussion or answer to my question

As i understand the Maxwell equation keep its form in all frames so why i need to make a covarient formulation form of electrodynamics ?

for example what the covarient form of continuity equation give me !
 
Physics news on Phys.org
physicist 12345 said:
this is my first topic here

Welcome to PF! Please note that the thread levels ("B", "I", and "A") are meant to show the level of your background knowledge in the subject matter. Based on your post, I have changed the level of this thread to "B".

physicist 12345 said:
the Maxwell equation keep its form in all frames

Yes, provided we transform all quantities appropriately.

physicist 12345 said:
why i need to make a covarient formulation form of electrodynamics ?

I assume that by "covariant formulation" you mean a formulation in terms of 4-vectors and 4-scalars instead of 3-vectors and 3-scalars. The reason this is done is that it makes it much easier to transform all quantities appropriately, and to see explicitly how the laws remain invariant under Lorentz transformations.

physicist 12345 said:
what the covarient form of continuity equation give me

This is easily found by looking in textbooks or online resources. It is much too broad a subject for a PF thread; once you have taken some time to build your background knowledge, you should be able to ask a more specific question.
 
  • Like
Likes   Reactions: vanhees71
thank you very much for quick answer

my question about continuity equation not about the difference but i ask what i get from the covarient form instead of usual form (how i benefit from writing it in covarient form)

also as you say that new formulation to make work much easier then if we use the ordinary (not modified equations) we will get the same results
(i.e i use the same form of Maxwell equation in different frames )
 
physicist 12345 said:
as you say that new formulation to make work much easier then if we use the ordinary (not modified equations) we will get the same results
(i.e i use the same form of Maxwell equation in different frames )

I don't understand what you mean by this. Maxwell's Equations already take the same form in different frames, whether you use 3-vectors and 3-scalars or 4-vectors and 4-scalars to express them, as long as you transform between frames using the Lorentz transformations for all quantities. That's what you were saying in the OP when you said "the Maxwell equation keep its form in all frames".
 
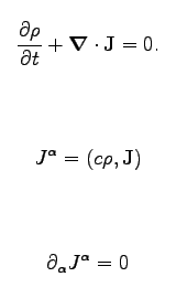
I meant by two forms the equations in attached photo (i meant covarience form and usual handing form)
 

Attachments

  • 12121.png
    12121.png
    1,009 bytes · Views: 508
physicist 12345 said:
I meant by two forms the equations in attached photo (i meant covarience form and usual handing form)

These are two forms of the continuity equation, not Maxwell's Equations. The advantage of using the 4-vector form should be obvious.
 
then the advantage of using 4- vector is just simplifying the transformation ??
 
physicist 12345 said:
i ask what i get from the covarient form instead of usual form
You get two things. First, you get brevity. Second, by writing it in covariant form you can immediately use any coordinates you like. For instance, suppose you want to use Maxwell's equations in spherical coordinates. The covariant form allows you to immediately use the same laws as you normally would use.
 
  • Like
Likes   Reactions: vanhees71
physicist 12345 said:
then the advantage of using 4- vector is just simplifying the transformation ?

And making the Lorentz invariance more explicit, because the covariant quantities are always just one symbol; in the continuity equation, you have just ##J^a## instead of having to remember that the pair ##\rho, \vec{J}## go together.
 
  • Like
Likes   Reactions: vanhees71 and physicist 12345
  • #10
Dale said:
You get two things. First, you get brevity. Second, by writing it in covariant form you can immediately use any coordinates you like. For instance, suppose you want to use Maxwell's equations in spherical coordinates. The covariant form allows you to immediately use the same laws as you normally would use.

then the covariant form is that which keep its form under transformation (is that which is invariant)
 
  • #11
physicist 12345 said:
then the covariant form is that which keep its form under transformation
Yes, that is what covariant means in this context.
 
  • #12
PeterDonis said:
And making the Lorentz invariance more explicit, because the covariant quantities are always just one symbol; in the continuity equation, you have just ##J^a## instead of having to remember that the pair ##\rho, \vec{J}## go together.
PeterDonis said:
And making the Lorentz invariance more explicit, because the covariant quantities are always just one symbol; in the continuity equation, you have just ##J^a## instead of having to remember that the pair ##\rho, \vec{J}## go together.
but the density (rho) is still exist as a temporal component of the current denisty
 
  • #13
Dale said:
Yes, that is what covariant means in this context.

Also could i think that covariance is the generalization of electrodynamic laws in diffrent frames ?
 
  • #14
physicist 12345 said:
the density (rho) is still exist as a temporal component of the current denisty

If you are using the 3-vector form of the equation, there is no "temporal component of the current density", because there is no "current density" 4-vector. There is just the charge density ##\rho## and the current density 3-vector ##\vec{J}##. And they just happen to get mixed up together in Lorentz transformations.
 
  • #15
PeterDonis said:
If you are using the 3-vector form of the equation, there is no "temporal component of the current density", because there is no "current density" 4-vector. There is just the charge density ##\rho## and the current density 3-vector ##\vec{J}##. And they just happen to get mixed up together in Lorentz transformations.

it seems that i benefit from this discussion ,, i don't want to waste your time more than that but i want to thank u for your time .. i will read more and may return to ask you again ,,, deep thanks
 
  • #16
You're welcome!
 
  • Like
Likes   Reactions: physicist 12345

Similar threads

  • · Replies 9 ·
Replies
9
Views
1K
  • · Replies 6 ·
Replies
6
Views
2K
  • · Replies 10 ·
Replies
10
Views
2K
  • · Replies 6 ·
Replies
6
Views
3K
  • · Replies 3 ·
Replies
3
Views
2K
  • · Replies 5 ·
Replies
5
Views
2K
  • · Replies 25 ·
Replies
25
Views
3K
  • · Replies 5 ·
Replies
5
Views
2K
  • · Replies 10 ·
Replies
10
Views
4K
  • · Replies 7 ·
Replies
7
Views
2K