Why Set the Inner Boundary Condition to -1 in Radial Flow Equations?

Click For Summary

Discussion Overview

The discussion revolves around the choice of setting the inner boundary condition to -1 in the context of solving the radial flow of the infinite form of the diffusivity equation. Participants explore the implications of this choice and what might occur if a different value were used.

Discussion Character

  • Technical explanation
  • Conceptual clarification
  • Debate/contested

Main Points Raised

  • Some participants suggest that setting the inner boundary condition to -1 is convenient because it allows for a clearer solution structure, focusing on the relevant parts of the equation.
  • Others argue that if a different constant were used instead of -1, such as C, it would lead to different types of solutions depending on the sign of C, but the overall structure would remain similar as long as C is negative.
  • A participant notes that using a positive constant could imply an accumulation of pressure at the center, which contradicts the expected behavior of diffusion.
  • Some participants discuss the importance of dimensionless terms in simplifying the equations and reducing the number of parameters to consider.
  • There is a mention of how the choice of boundary condition affects the physical interpretation of pressure changes and flux in the radial flow context.

Areas of Agreement / Disagreement

Participants express varying opinions on the implications of using -1 versus other constants, indicating that multiple competing views remain regarding the effects of different boundary conditions on the solutions.

Contextual Notes

Participants highlight that the choice of boundary condition may depend on the specific problem being addressed, and the implications of using different values are not fully resolved.

Who May Find This Useful

This discussion may be of interest to those studying fluid dynamics, particularly in the context of radial flow and diffusivity equations, as well as those interested in mathematical modeling techniques in physics and engineering.

Aows
Hello gents,
Q:/ what is the reason for letting the inner boundary condition = (-1) when solving the radial flow of infinite form of diffusivity equation, and i would like to know what will happened if i didn't equate it with (-1).

as in the attached pic:
https://i.imgur.com/AVesmHM.png
 
Engineering news on Phys.org
The reason is that it is convenient to do. Generally, the ##p_D## value is decreasing as your radial component increases. The first expression gives you an idea of all the factors that contribute to the specific rate. By lumping them all together, you can focus on only the part of the equation you care about.
If there were a number other then -1, you could just factor out another constant and add that into your ##y_{ch}## term so you would not have to worry about it.
 
  • Like
Likes   Reactions: Aows
RUber said:
The reason is that it is convenient to do. Generally, the ##p_D## value is decreasing as your radial component increases. The first expression gives you an idea of all the factors that contribute to the specific rate. By lumping them all together, you can focus on only the part of the equation you care about.
If there were a number other then -1, you could just factor out another constant and add that into your ##y_{ch}## term so you would not have to worry about it.
thanks indeed, i think this is the right answer but can you explain more in details please?
 
I am not sure what more to say. Depending on the problem you are working on, the right side could be any number of things. Each would have its own particular solution. If you consider that instead of -1 on the right, you had an arbitrary constant C, would that change things? Only a little. You might have one type of solution for C>0, another for C<0 and possibly a third for C=0.
If you assume that there is variability on the right side, then your solution set would likely change to meet that.
Letting C = -1, you can build a clear solution, and as long as you don't cross over zero, that solution will look very similar for all C<0. The only difference will be the scale.
 
  • Like
Likes   Reactions: Aows
RUber said:
I am not sure what more to say. Depending on the problem you are working on, the right side could be any number of things. Each would have its own particular solution. If you consider that instead of -1 on the right, you had an arbitrary constant C, would that change things? Only a little. You might have one type of solution for C>0, another for C<0 and possibly a third for C=0.
If you assume that there is variability on the right side, then your solution set would likely change to meet that.
Letting C = -1, you can build a clear solution, and as long as you don't cross over zero, that solution will look very similar for all C<0. The only difference will be the scale.
i understand the first part of your last comment very clearly but what what will happened or how the (-1) will facilitate my solution and if i choose (1) instead of (-1) what are the differences that will appear ?
and here is the link to the original pdf:

http://www.pe.tamu.edu/blasingame/d...P620_Mod4_ResFlw_01_(07C_Class)_DimLssVar.pdf
 
The simplest answer is that your negative sign would have to be included in the definition of ##y_{ch}.##
However, if you are trying to describe a different physical environment by switching the sign, (leaving the rest of the values unchanged), you end up with infinitely increasing pressure at the center point. A negative sign on your pressure change means that the pressure is diffusing, a positive sign on pressure change means it is accumulating.
 
  • Like
Likes   Reactions: Aows
thanks indeed Mr.RUber.
 
@Aows, Let's take a look at where these things came from:
upload_2017-8-3_14-8-14.png

We write things in dimensionless terms so we can talk about the math in general.
Then, based on the physics, apply some assumption, like:
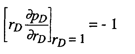
upload_2017-8-3_14-21-1.png

Which tells you that the pressure is decreasing as you move away from the well.

In your source document, there are lots of equations showing how your various parameters come into play for the dimensional case, which you care about when solving specific problems, but seeing that they can be simplified down to a simple differential equation is nice.
In this form, if instead of = -1, you had = -2, then the pressure would be changing twice as fast. If you had =0, then the pressure would not be changing at all (maybe nothing coming out of the well. )
The definitions of the physical parameters should prevent you from ever having a positive number on the right hand side, but as I mentioned above, that would generate an accumulation of pressure at the well, the opposite of diffusion.
 
  • Like
Likes   Reactions: johnsherdy10 and Aows
Thanks
RUber said:
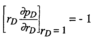
@Aows, Let's take a look at where these things came from:
View attachment 208242
We write things in dimensionless terms so we can talk about the math in general.
Then, based on the physics, apply some assumption, like:
View attachment 208244
Which tells you that the pressure is decreasing as you move away from the well.

In your source document, there are lots of equations showing how your various parameters come into play for the dimensional case, which you care about when solving specific problems, but seeing that they can be simplified down to a simple differential equation is nice.
In this form, if instead of = -1, you had = -2, then the pressure would be changing twice as fast. If you had =0, then the pressure would not be changing at all (maybe nothing coming out of the well. )
The definitions of the physical parameters should prevent you from ever having a positive number on the right hand side, but as I mentioned above, that would generate an accumulation of pressure at the well, the opposite of diffusion.
Thanks indeed Dear Dr. RUber, this answer is so clear.
 
  • #10
What they are doing (in a not very clear and explicit way) is reducing the equations to dimensionless form by expressing the key parameters in terms of dimensionless groups. The reduces the equations mathematically to their bare essence, and reduces the number of parameters you need to consider in solving the equations and in plotting the results of solving the equations. This is an extremely powerful technique.
 
  • Like
Likes   Reactions: Aows
  • #11
Chestermiller said:
What they are doing (in a not very clear and explicit way) is reducing the equations to dimensionless form by expressing the key parameters in terms of dimensionless groups. The reduces the equations mathematically to their bare essence, and reduces the number of parameters you need to consider in solving the equations and in plotting the results of solving the equations. This is an extremely powerful technique.

Thanks dear mr. @Chestermiller , conversion to dimensionless form is clear, can you give your opinion about the (-1) part when constant flow rate boundary condition ?
 
  • #12
Aows said:
Thanks dear mr. @Chestermiller , conversion to dimensionless form is clear, can you give your opinion about the (-1) part when constant flow rate boundary condition ?
If means that if the pressure is decreasing with r (i.e., derivative is negative), the flux is positive, and the 1 represents the positive dimensionless radial flux.
 
  • Like
Likes   Reactions: Aows
  • #13
Chestermiller said:
If means that if the pressure is decreasing with r (i.e., derivative is negative), the flux is positive, and the 1 represents the positive dimensionless radial flux.

Thanks a lot Mr. Chestermiler
 

Similar threads

  • · Replies 22 ·
Replies
22
Views
4K
  • · Replies 5 ·
Replies
5
Views
1K
  • · Replies 4 ·
Replies
4
Views
4K
  • · Replies 4 ·
Replies
4
Views
2K
  • · Replies 19 ·
Replies
19
Views
2K
Replies
5
Views
3K
  • · Replies 1 ·
Replies
1
Views
2K
  • · Replies 8 ·
Replies
8
Views
4K
Replies
3
Views
3K
  • · Replies 1 ·
Replies
1
Views
2K