Worked example on a covariant vector transformation

Click For Summary

Discussion Overview

The discussion revolves around the transformation of covariant coordinates of a vector between two bases, with participants sharing examples and seeking clarification on the topic. The scope includes theoretical aspects of vector transformation and mathematical reasoning related to covariant vectors.

Discussion Character

  • Exploratory
  • Technical explanation
  • Mathematical reasoning

Main Points Raised

  • One participant seeks feedback on their understanding of covariant vector transformations and has provided a document for review.
  • Another participant expresses concern about downloading documents from unknown sources, suggesting that questions should be posted directly in the forum for better engagement.
  • A third participant shares a PDF version of the original document, indicating a willingness to provide the content in a more accessible format.
  • Another participant critiques the use of superscripts for components of covectors, proposing a clearer notation for vector and covector coordinates and discussing the transformation rules involving matrices.

Areas of Agreement / Disagreement

Participants do not appear to reach a consensus on the best way to present questions or examples, as there are differing opinions on document sharing and notation conventions. The discussion remains unresolved regarding the optimal approach to understanding covariant vector transformations.

Contextual Notes

There are limitations in the clarity of the mathematical expressions due to the use of images and the potential confusion surrounding notation for vectors and covectors. The discussion also reflects varying preferences for sharing information and engaging with complex topics.

Dyatlov
Messages
25
Reaction score
1
Hello.
I would like to check my understanding of how you transform the covariant coordinates of a vector between two bases.
I worked a simple example in the attached word document.
Let me know what you think.
 

Attachments

Physics news on Phys.org
Dyatlov said:
Hello.
I would like to check my understanding of how you transform the covariant coordinates of a vector between two bases.
I worked a simple example in the attached word document.
Let me know what you think.
You should know, that to download a word document from unknown origin is a big hurdle not many of us want to risk. Definitely not me, as I additionally consider it as bad behavior to force me to take action rather than trying to concentrate on help. But this is my personal attitude towards users who don't take the effort of posting their questions adequately while simultaneously demanding efforts from others. I think you should know this and consider to type in the entire question instead. We have a LaTex library in place that helps a lot to even type in complicated formulas.
 
  • Like
Likes   Reactions: Orodruin
Here's the content of the PDF (limited to 10 image files per post so had to use latex codes for some stuff) via copy and paste (equations are images)

----------------------// example.docx as pdf //----------------------------------------------

The formula for the covariant vector transformation from the ##R^2## coordinate system to the ##B## coordinate system is:

upload_2017-3-20_21-10-33.png


For our example, the vector
upload_2017-3-20_21-10-33.png
, where
upload_2017-3-20_21-10-33.png
and
upload_2017-3-20_21-10-33.png
are the basis for
upload_2017-3-20_21-10-33.png
.

Our new coordinate system
upload_2017-3-20_21-10-33.png
; spanned by

upload_2017-3-20_21-10-33.png


upload_2017-3-20_21-10-33.png


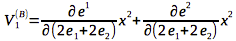
To find ##V_1## in the ##B## basis in terms of ##V_i## in ##R^2##:

upload_2017-3-20_21-10-33.png


upload_2017-3-20_21-10-33.png


upload_2017-3-20_21-10-33.png
 
First, it is not a good idea to use superscripts for components of a covector. Simple way to restore these formulas is as follows. Vector's coordinates form the column: ##x=(x^1,\ldots, x^m)^T## and covector's coordinates form the row ##\xi=(\xi_1,\ldots, \xi_m)##. The pairing ##\xi x=\xi_ix^i## is a scalar.

If vector's coordinates transform with the help of a matrix ##C## by the rule ##x'=Cx## and the covector's coordinates transform as follows ##\xi'=\xi D##
then formula ##\xi'x'=\xi x## implies ##D=C^{-1}##
 
Last edited:

Similar threads

  • · Replies 18 ·
Replies
18
Views
3K
  • · Replies 5 ·
Replies
5
Views
2K
  • · Replies 22 ·
Replies
22
Views
3K
  • · Replies 11 ·
Replies
11
Views
5K
  • · Replies 1 ·
Replies
1
Views
3K
  • · Replies 16 ·
Replies
16
Views
6K
  • · Replies 2 ·
Replies
2
Views
2K
  • · Replies 2 ·
Replies
2
Views
4K
  • · Replies 15 ·
Replies
15
Views
6K
  • · Replies 21 ·
Replies
21
Views
18K