Zero spin of Higgs boson? Is it really zero?

Click For Summary

Discussion Overview

The discussion centers around the spin of the Higgs boson, specifically whether it is truly zero and the implications of its spin characteristics in the context of particle physics. Participants explore theoretical aspects, experimental confirmations, and comparisons with other particles, such as pions.

Discussion Character

  • Exploratory
  • Technical explanation
  • Debate/contested
  • Mathematical reasoning

Main Points Raised

  • Some participants assert that the Higgs boson must have spin-zero to produce a vacuum expectation value, which is essential for the Higgs field's role in particle mass generation.
  • Others question the nature of spin quantization, noting that spin is a fixed property of elementary particles and cannot be arbitrarily small.
  • A participant elaborates on the Higgs mechanism, explaining that only scalar fields can have non-zero vacuum expectation values without breaking Lorentz invariance, thus supporting the Higgs boson's classification as a spin-0 particle.
  • There are inquiries about the theoretical implications of cooling particles and whether this could affect their intrinsic spin, with responses clarifying that spin is a fixed characteristic.
  • Some participants discuss how the spin of the Higgs boson is determined experimentally, mentioning methods such as conservation of angular momentum and decay patterns.
  • Comparisons are made between the Higgs boson and pions, with questions about how their spins interact when forming composite particles.
  • A participant emphasizes that total spin is a defining characteristic of particles, contrasting it with classical physics dynamics.

Areas of Agreement / Disagreement

Participants generally agree that the Higgs boson has zero spin, but there are ongoing discussions about the implications and interpretations of this property, as well as the nature of spin in particle physics. Multiple competing views and questions remain unresolved.

Contextual Notes

Some discussions touch on the limitations of understanding spin in relation to particle interactions and the implications of Lorentz invariance, but these aspects remain complex and not fully resolved within the thread.

Who May Find This Useful

This discussion may be of interest to those studying particle physics, particularly in understanding the properties of fundamental particles and the theoretical frameworks that govern their behavior.

curiuousgoerge
Messages
2
Reaction score
0
TL;DR
Zero spin of Higgs boson? Is it really zero? Where is the spin (intrinsic angular momentum) of the Higgs boson on so small that we quantify it as having zero spin?
Zero spin of Higgs boson? Is it really zero? Where is the spin (intrinsic angular momentum) of the Higgs boson on so small that we quantify it as having zero spin?I am aware of the reduced plank constant. But I we sure there is nothing in between the reduce Planck’s constant and the zero spin of the Higgs boson?
 
Physics news on Phys.org
The Higgs-boson basically has to have spin-zero in order to produce a vacuum expectation value, which was the entire point of introducing the higgs field.
 
  • Like
Likes   Reactions: vanhees71
curiuousgoerge said:
Where is the spin (intrinsic angular momentum) of the Higgs boson on so small that we quantify it as having zero spin?
Spin is quantized, it cannot be arbitrarily small.
 
  • Like
Likes   Reactions: protonsarecool, ohwilleke, Lord Jestocost and 1 other person
HomogenousCow said:
The Higgs-boson basically has to have spin-zero in order to produce a vacuum expectation value, which was the entire point of introducing the higgs field.
Can you elaborate on that more? And was the Higgs boson zero spin theorized before it was observed confirmed or was it observed and then confirmed has zero?
 
Where to begin..
The original way to assign particle masses in field theory was to introduce quadratic terms in the Lagrangian, this doesn't work for gauge bosons or fermions participating in the weak interaction. To remedy this the Higgs mechanism was used to add effective mass terms to the Lagrangian via the Higgs field, in order for this to work the Higgs field has to have a non-zero vacuum expectation value. This basically means that the Higgs field cannot disappear (on average) even in its lowest energy state; there's still some of it around no matter how cold you make the system. However, because the vacuum must be lorentz invariant, so must the vacuum expectation value of any field. This means that no vector (spin-1) or spinor (spin-1/2) field can have a non-zero vacuum expectation value as it would pick out a preferred direction in space. This leaves only the scalar field (spin-0) capable of having a non-zero vacuum expectation value, as it has no direction and can do so without breaking any symmetries. Thus the higgs field was always described by a scalar field with no spin.
 
  • Like
Likes   Reactions: ohwilleke, strangerep, Orodruin and 2 others
HomogenousCow said:
Where to begin..
The original way to assign particle masses in field theory was to introduce quadratic terms in the Lagrangian, this doesn't work for gauge bosons or fermions participating in the weak interaction. To remedy this the Higgs mechanism was used to add effective mass terms to the Lagrangian via the Higgs field, in order for this to work the Higgs field has to have a non-zero vacuum expectation value. This basically means that the Higgs field cannot disappear (on average) even in its lowest energy state; there's still some of it around no matter how cold you make the system. However, because the vacuum must be lorentz invariant, so must the vacuum expectation value of any field. This means that no vector (spin-1) or spinor (spin-1/2) field can have a non-zero vacuum expectation value as it would pick out a preferred direction in space. This leaves only the scalar field (spin-0) capable of having a non-zero vacuum expectation value, as it has no direction and can do so without breaking any symmetries. Thus the higgs field was always described by a scalar field with no spin.
so the higgs boson does have spin, but for formulaic reasons it is simplified as a scalar with a 0 spin?
theoretically if subatomic particle is cooled down to a point where it has no intrinsic spin, does that mean it would disappear?
 
jwb44 said:
so the higgs boson does have spin, but for formulaic reasons it is simplified as a scalar with a 0 spin?
theoretically if subatomic particle is cooled down to a point where it has no intrinsic spin, does that mean it would disappear?
You have misunderstood the quantisation of spin. Each elementary particle has a fixed total spin, which can be one of ##0, \frac 1 2, 1, \frac 3 2 \dots##. This value of spin is fixed, in the same way that the mass and charge of the particle is fixed - total spin is one of the defining parameters of each particle.

(In fact, particles with half-integer spins are called fermions; and, particles with integer spin are called bosons.

The Higgs Boson has zero spin. The photon has spin ##1##. The electron has spin ##\frac 1 2##.
 
  • Like
Likes   Reactions: vanhees71 and ohwilleke
PeroK said:
You have misunderstood the quantisation of spin. Each elementary particle has a fixed total spin, which can be one of ##0, \frac 1 2, 1, \frac 3 2 \dots##. This value of spin is fixed, in the same way that the mass and charge of the particle is fixed - total spin is one of the defining parameters of each particle.

(In fact, particles with half-integer spins are called fermions; and, particles with integer spin are called bosons.

The Higgs Boson has zero spin. The photon has spin ##1##. The electron has spin ##\frac 1 2##.
Also, worth noting, that there are many composite particles with spin-0 (e.g. a pion), and that one of the first things that was done after the discovery of the Higgs in 2012 was to confirm its zero spin nature to very high probability.
 
Last edited:
  • Informative
  • Like
Likes   Reactions: Delta2 and vanhees71
Dumb question: how does one determine the spin of the Higgs boson from the experimental data generated by the LHC?
 
  • Like
Likes   Reactions: vanhees71
  • #10
jwb44 said:
theoretically if subatomic particle is cooled down to a point where it has no intrinsic spin
You cannot "cool down" elementary particles, and you cannot change their spin with any other process. You can only change the direction of their spin (if it's non-zero, otherwise there is no such direction).
TeethWhitener said:
Dumb question: how does one determine the spin of the Higgs boson from the experimental data generated by the LHC?
  • By conservation of angular momentum. If it can decay e.g. to two bosons it has to be a boson (integer spin).
  • Via the Landau-Yang theorem a massive particle decaying to two photons cannot have spin 1.
  • By looking at the angular distributions of the decay particles if there are more than two. This is largely done with the decay to four muons. Different spin options lead to different distributions.
 
  • Like
Likes   Reactions: protonsarecool, strangerep, dextercioby and 5 others
  • #11
PeroK said:
You have misunderstood the quantisation of spin. Each elementary particle has a fixed total spin, which can be one of ##0, \frac 1 2, 1, \frac 3 2 \dots##. This value of spin is fixed, in the same way that the mass and charge of the particle is fixed - total spin is one of the defining parameters of each particle.

(In fact, particles with half-integer spins are called fermions; and, particles with integer spin are called bosons.

The Higgs Boson has zero spin. The photon has spin ##1##. The electron has spin ##\frac 1 2##.
I understand the basics of 1 and 1/2 spins. and they are multiplied by the reduced Planck constant (ℏ)
Can anyone explain what biggest differences are between Pions and higg bosons when it comes to 0 spin?

I know: Pion = In particle physics, a pion is any of three subatomic particles: π⁰ , π⁺ , and π⁻ . Each pion consists of a quark and an antiquark and is therefore a meson.

How do the three subatomic particles bond to each other is there is no intrinsic spin? Or do the spins neutralize each other, creating 0 spin?
 
  • #12
jwb44 said:
I know: Pion = In particle physics, a pion is any of three subatomic particles: π⁰ , π⁺ , and π⁻ . Each pion consists of a quark and an antiquark and is therefore a meson.

How do the three subatomic particles bond to each other is there is no intrinsic spin? Or do the spins neutralize each other, creating 0 spin?
If an up quark and a down anti-quark combine (both are spin 1/2, as you know), their total spin must be 0 or 1. Depending on whether the spins align or not. If the spins align, you get a spin 1 particle (##\rho##) and if the spins cancel you get a spin 0 particle (pion).

Note that total spin is one of the defining characteristics of each particle. It's not a variable dynamic quantity like it is in classical physics.
 
  • Like
Likes   Reactions: vanhees71, mfb and ohwilleke
  • #13
Demystifier said:
Spin is quantized, it cannot be arbitrarily small.

What is the minimal spin of a Lorentz-scalar field then?
 
  • #14
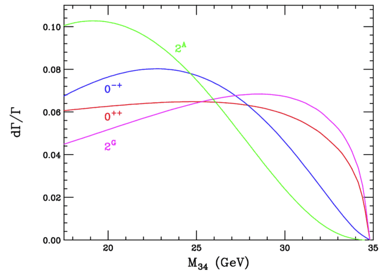
There is `no question that the Higgs boson has spin 0 (and even parity). The experiments do all sorts of fancy-schmancy fitting, but the reason is quite simple: the 125 GeV of the Higgs mass has to go somewhere. In the ZZ* decay, the on-shell Z takes 90 GeV, and the rest is split between the off-shell Z mass and kinetic energy, which is L2/2I. So the off-shell Z mass distribution changes with the Higgs spin. See Boughezal et al.

1657464832753.png


The fitters, of course. rediscover this relationship when they are run.

There is no room for doubt about the quantum numbers of the Higgs.
 
Last edited:
  • Like
Likes   Reactions: ohwilleke and mfb
  • #15
drmalawi said:
What is the minimal spin of a Lorentz-scalar field then?
Exactly zero, which is not arbitrarily small.
 
  • Like
  • Love
Likes   Reactions: protonsarecool, ohwilleke and malawi_glenn
  • #16
Demystifier said:
Exactly zero, which is not arbitrarily small.
I read totally wrong there, my bad :doh:
 
  • Like
Likes   Reactions: ohwilleke and Demystifier
  • #17
drmalawi said:
What is the minimal spin of a Lorentz-scalar field then?
By definition the spin of a scalar field is zero. The spin quantum number ##s## defines the representation of rotations for the states of 0 momentum (massive particles; for massless ones it's a bit more complicated).

If you mean total angular momentum, which is the only angular momentum that's observable in relativistic physics, the minimal ##J## is zero too for scalar fields.
 
  • Like
Likes   Reactions: ohwilleke

Similar threads

  • · Replies 7 ·
Replies
7
Views
2K
  • · Replies 8 ·
Replies
8
Views
3K
  • · Replies 9 ·
Replies
9
Views
3K
  • · Replies 5 ·
Replies
5
Views
3K
  • · Replies 12 ·
Replies
12
Views
4K
  • · Replies 5 ·
Replies
5
Views
3K
  • · Replies 4 ·
Replies
4
Views
1K
  • · Replies 2 ·
Replies
2
Views
2K
  • · Replies 13 ·
Replies
13
Views
4K
  • · Replies 10 ·
Replies
10
Views
10K