2nd order differential equations

Click For Summary
SUMMARY

The discussion focuses on solving second-order differential equations, specifically the challenges in finding the second derivative, denoted as ##\frac{d^2 y}{dx^2}##. Participants emphasize the importance of the product rule and chain rule in this context. The chain rule is defined as the derivative of a function of z, which is crucial when differentiating ##\frac{dy}{dz}##. The conversation highlights the need for clarity in applying these rules to successfully compute higher-order derivatives.

PREREQUISITES
  • Understanding of first-order derivatives and notation
  • Familiarity with the product rule in calculus
  • Knowledge of the chain rule and its application
  • Basic concepts of differential equations
NEXT STEPS
  • Study the application of the product rule in higher-order derivatives
  • Learn advanced techniques for solving second-order differential equations
  • Explore examples of chain rule applications in complex functions
  • Review the relationship between first and second derivatives in differential equations
USEFUL FOR

Students studying calculus, mathematicians focusing on differential equations, and educators seeking to clarify concepts related to derivatives and their applications.

trew
Messages
19
Reaction score
0

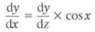
Homework Statement


xn4AxR5.png


Homework Equations

The Attempt at a Solution


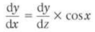
I managed to find dy/dx as follows:
dXyGySZ.png


But I'm having difficulty finding the second derivative. I've looked at examples using the chain rule but I'm still confused.

Would someone mind shedding some light on this for me?
 

Attachments

  • xn4AxR5.png
    xn4AxR5.png
    12.1 KB · Views: 683
  • dXyGySZ.png
    dXyGySZ.png
    5.6 KB · Views: 732
Physics news on Phys.org
trew said:
I managed to find dy/dx as follows:
This is not particular for dy/dx. It holds if you replace y by any function. In particular, what do you get if you replace y by dy/dx?
 
  • Like
Likes   Reactions: trew
trew said:

Homework Equations


The product rule and the chain rule are relevant equations.

But I'm having difficulty finding the second derivative.

Part of applying the product rule to find ##\frac{d^2 y}{dx^2} = \frac{d}{dx} ( \frac{dy}{dz} cos(x))## requires evaluating the factor ##\frac{d}{dx} \frac{dy}{dz}##. The chain rule, in words, says "the derivative with respect to x of a function of z is equal to the derivative of the function with respect to z times the derivative of z with respect to x". As @Orodruin pointed out, you can apply this rule when "a function of z" is ##\frac{dy}{dz}##. What do you get when you differentiate ##\frac{dy}{dz}## with respect to ##z## ?
 
  • Like
Likes   Reactions: trew

Similar threads

  • · Replies 4 ·
Replies
4
Views
2K
  • · Replies 10 ·
Replies
10
Views
2K
  • · Replies 6 ·
Replies
6
Views
2K
  • · Replies 25 ·
Replies
25
Views
2K
  • · Replies 3 ·
Replies
3
Views
1K
Replies
3
Views
2K
Replies
1
Views
2K
Replies
9
Views
2K
  • · Replies 3 ·
Replies
3
Views
1K
  • · Replies 2 ·
Replies
2
Views
1K