A problem about differentiability

  • Context: Undergrad 
  • Thread starter Thread starter rasi
  • Start date Start date
  • Tags Tags
    Differentiability
Click For Summary
SUMMARY

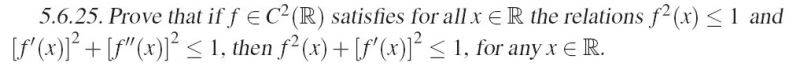
The discussion centers on the problem of differentiability in mathematical functions. A solution is proposed that assumes the limit of functions approaches zero as x approaches infinity. The key conclusion is that if the conditions ##f(x_0)^2 \leq 1##, ##f'(x_0)^2 + f''(x_0) \leq 1##, and ##f(x_0)^2 + f'(x_0)^2 > 1## are met, then no twice differentiable continuation of the function f exists on the real numbers, highlighting the importance of the continuity of ##f''(x)## in the proof.

PREREQUISITES
  • Understanding of differentiability in calculus
  • Familiarity with limits and continuity concepts
  • Knowledge of mathematical notation, particularly derivatives
  • Basic grasp of real analysis principles
NEXT STEPS
  • Study the implications of the Mean Value Theorem in differentiability
  • Explore the role of continuity in higher-order derivatives
  • Research examples of functions that violate differentiability conditions
  • Learn about the implications of limits in calculus, particularly in relation to infinity
USEFUL FOR

Mathematicians, students studying calculus and real analysis, and anyone interested in the properties of differentiable functions.

rasi
Messages
18
Reaction score
0
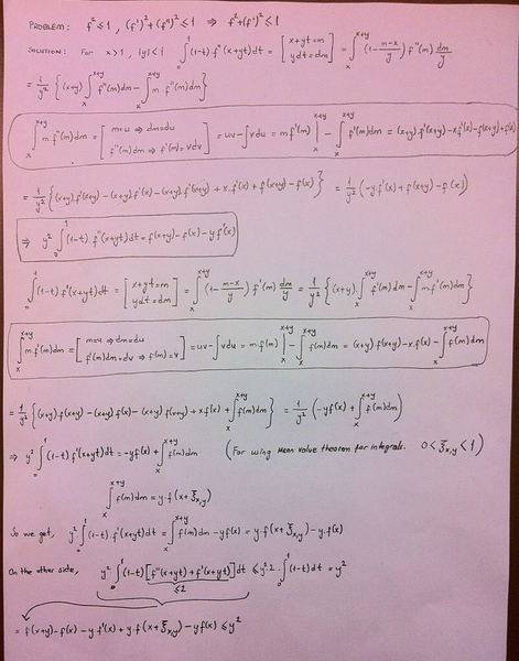
as you know i have been asked a question which no no way i couldn't tackle it. and its is about differentiabilty. at long last i found a solution. i want to share with you. could you check out please. thanks for now.this is the question.
5625-1.jpg

and this is my solution.(i assume that when x goes infinity, the limit value of functions equals zero.)
part1
1.jpg

part2
2.jpg
 
Physics news on Phys.org
I cannot decode the first picture. However, there are functions which locally violate the assertion. So the problem comes down to: If ##f(x_0)^2 \leq 1## and ##f'(x_0)^2 +f''(x_0)\leq 1 ## and ##f(x_0)^2 +f'(x_0)^2> 1##, then there is no twice differentiable continuation of ##f## on ##\mathbb{R}##. This means on the other hand, that the continuity of ##f''(x)## is crucial for the proof!
 

Similar threads

  • · Replies 11 ·
Replies
11
Views
3K
  • · Replies 8 ·
Replies
8
Views
2K
  • · Replies 7 ·
Replies
7
Views
2K
  • · Replies 1 ·
Replies
1
Views
1K
  • · Replies 2 ·
Replies
2
Views
2K
  • · Replies 4 ·
Replies
4
Views
2K
  • · Replies 2 ·
Replies
2
Views
2K
  • · Replies 9 ·
Replies
9
Views
3K
  • · Replies 20 ·
Replies
20
Views
3K
  • · Replies 10 ·
Replies
10
Views
4K