A problem in solving Schrodinger equation for hydrogen

Click For Summary
SUMMARY

The discussion focuses on solving the theta component of the Time-Independent Schrödinger Equation (TISE) for the hydrogen atom. Participants highlight the similarity between the theta part and the associated Legendre function, specifically addressing the transformation of the term 1/sinθ to (1-x²) where x = cosθ. A suggested approach involves using the substitution of derivatives, specifically \(\frac{d}{d\theta} = -\sin\theta \frac{d}{dx}\), to facilitate the conversion. This method aims to simplify the mathematical manipulation required for solving the equation.

PREREQUISITES
  • Understanding of the Time-Independent Schrödinger Equation (TISE)
  • Familiarity with associated Legendre functions
  • Knowledge of trigonometric identities and substitutions
  • Basic calculus, particularly differentiation techniques
NEXT STEPS
  • Study the properties of associated Legendre functions in quantum mechanics
  • Explore trigonometric identities relevant to calculus and differential equations
  • Learn about the application of substitutions in solving differential equations
  • Investigate advanced techniques in quantum mechanics, specifically for hydrogen atom solutions
USEFUL FOR

Students and researchers in quantum mechanics, particularly those focusing on the mathematical aspects of solving the Schrödinger equation, as well as educators teaching advanced physics concepts.

patric44
Messages
308
Reaction score
40
Homework Statement
iam having a little problem related to solving the theta part for the hydrogen atom
Relevant Equations
problem with the theta part of the SE and associated Legendre function
hi guys
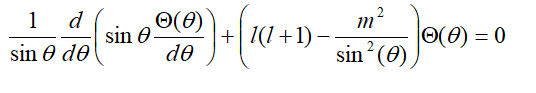
i am having a little problem concerning the theta part of TISE :
shrodinger.png

its clearly that its very similer to the associated Legendre function :
shrodin2ger.png

how iam going to change 1/sinθ ... to (1-x^2) in which x = cosθ
i tried many identities but i am stuck here .
any help on that ?
 
Physics news on Phys.org
Hi.
Try substitute
[tex]\frac{d}{d\theta}=\frac{dx}{d\theta}\frac{d}{dx}=-sin\theta\frac{d}{dx}[/tex]
 
  • Like
Likes   Reactions: vanhees71 and Abhishek11235

Similar threads

Replies
29
Views
2K
Replies
5
Views
2K
Replies
2
Views
2K
Replies
3
Views
2K
  • · Replies 5 ·
Replies
5
Views
2K
  • · Replies 6 ·
Replies
6
Views
2K
Replies
1
Views
2K
  • · Replies 2 ·
Replies
2
Views
2K
  • · Replies 1 ·
Replies
1
Views
2K
  • · Replies 6 ·
Replies
6
Views
2K