An exercise about chemical equilibrium

Click For Summary
SUMMARY

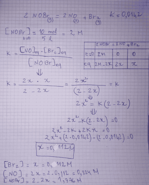
The forum discussion centers on a problem set regarding chemical equilibrium, specifically the equilibrium constant expression for the reaction involving nitrogen monoxide (NO), bromine (Br2), and nitrosyl bromide (NOBr). The user identifies a mistake in their calculation, noting the need to exponentiate the concentrations in the equilibrium expression: k = [NO]2[Br2]/[NOBr]2. Additionally, there is confusion regarding the physical state of NO, which is incorrectly listed as a solid under conditions that are not feasible, given its boiling point.

PREREQUISITES
  • Understanding of chemical equilibrium concepts
  • Familiarity with equilibrium constant expressions
  • Knowledge of the physical states of substances at various temperatures
  • Basic skills in stoichiometry and chemical reactions
NEXT STEPS
  • Review the principles of chemical equilibrium and the derivation of equilibrium constant expressions
  • Study the physical properties of nitrogen monoxide (NO) and its behavior at different temperatures
  • Learn about the implications of temperature on the states of chemical substances
  • Explore common mistakes in calculating equilibrium constants and how to avoid them
USEFUL FOR

Chemistry students, educators, and anyone involved in studying or teaching chemical equilibrium concepts.

samy4408
Messages
62
Reaction score
9
Homework Statement
my answer is an image in the post
Relevant Equations
no particular equations
Hello i am trying to solve a problem set about chemical equilibrium , the issue is that my results don't correspond to the correction . can someone tell me what is wrong with my answer , thanks
here is the problem and his correction :
1649722814871.png


here is my answer :
1649722980746.png
 
Physics news on Phys.org
It seems that you forgot to exponentiate the concentration of mols, that is:

$$ k = \frac{[NO]^2[Br_2]}{[NOBr]^2} $$
 
  • Like
Likes   Reactions: samy4408 and DrClaude
that^^^

Strange that the question lists NO as a solid. That would mean temperature below -164°C, at the same time NOBr boils at 15°C, so it would be solid as well. Doesn't make much sense.
 

Similar threads

  • · Replies 7 ·
Replies
7
Views
3K
  • · Replies 3 ·
Replies
3
Views
3K
  • · Replies 4 ·
Replies
4
Views
2K
  • · Replies 3 ·
Replies
3
Views
3K
  • · Replies 1 ·
Replies
1
Views
2K
  • · Replies 1 ·
Replies
1
Views
2K
  • · Replies 1 ·
Replies
1
Views
3K
  • · Replies 4 ·
Replies
4
Views
2K
Replies
5
Views
2K