An "x" from nowhere, mistake by textbook? (induced voltages)

Click For Summary
SUMMARY

The discussion centers on the calculation of induced voltage and net force in a wire subjected to a magnetic field. The correct formula for net force is established as F_{net} = i_{ind}LB(x_2) - i_{ind}LB(x_1), where B(x_1) and B(x_2) represent the magnetic fields at positions x_1 and x_2, respectively. The participants confirm that the textbook's approach is incorrect, yielding a force of 5*10^{-14} N instead of the erroneous 10^{-16} N. This highlights the importance of accurately applying the principles of electromagnetism in problem-solving.

PREREQUISITES
  • Understanding of induced voltage calculations using Faraday's Law
  • Familiarity with magnetic fields and their effects on current-carrying conductors
  • Knowledge of basic circuit theory, including resistance and current
  • Proficiency in calculus for differentiating integrals in physics problems
NEXT STEPS
  • Study Faraday's Law of Electromagnetic Induction in detail
  • Learn about the Biot-Savart Law for calculating magnetic fields
  • Explore the relationship between current, magnetic fields, and forces on conductors
  • Practice solving problems involving induced currents and forces in various configurations
USEFUL FOR

Students and professionals in physics, electrical engineering, and anyone involved in electromagnetism applications will benefit from this discussion. It is particularly relevant for those studying induced voltages and forces in conductive materials.

mymodded
Messages
29
Reaction score
7
Homework Statement
The long, straight wire in the figure has a current i= 1.00 A flowing in it. A square loop with 10.0-cm sides and a resistance of 0.0200 ##\Omega## is positioned 10.0 cm away from the wire. The loop is then moved in the positive x-direction with a speed v = 10.0 cm/s.

Calculate the direction and the magnitude of the net force acting on the loop at the instant it starts to move.
Relevant Equations
##\Delta V_{ind}=-\frac{d\Phi}{dt}##
##\Phi = \oint \vec{B} \cdot d\vec{A}##
##B_{long wire} = \frac{\mu_{0} i}{2\pi r}##
##F = ilB sin(\theta)##
1716985385886.png

this is the figure in the question.The question can be solved by first finding the induced voltage (and then the induced current), and then we can find the force on each side of the wire due to the magnetic field and subtract them from each other (since the force on the upper and lower sides are the same they cancel eachother so we only need to worry about the right and left side)

dA = 0.1 dr
##\Large \Delta V_{ind}=-\frac{d\Phi}{dt} = \frac{d}{dt}(\int_{0.1t+0.1}^{0.1t+0.2} \frac{\mu_{0} i}{2\pi r} 0.1 dr) = \frac{d}{dt}(\frac{0.1\mu_{0} i}{2\pi} (ln(0.1t+0.2) - ln(0.1t+0.1)) = \frac{0.1\mu_{0} i}{2\pi} . (\frac{0.1}{0.1+0.2} - \frac{0.1}{0.1t+0.1})##

then ##i_{ind}## is that divided by the resistance R.
then
##F_{net} = F_{right} - F_{left} = i_{ind} L B_{right} - i_{ind} L B_{left} ## where ##B= \frac{\mu_{0} i}{2\pi r}## and r is 0.1 for left and 0.2 for right and we substitute t = 0.
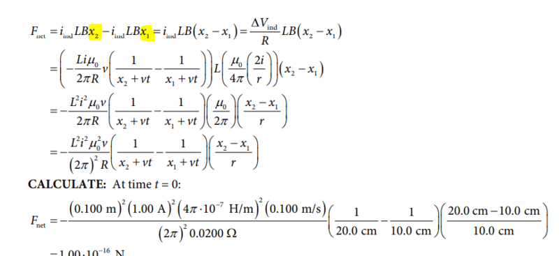
but the textbook solved the last part like this
1716986863866.png

which I believe is wrong, since when did F= ilbx? and when you calculate what they wrote you actually get 10^(-14)N not -16 . The answer that I got is 5*10^(-14) N so am I correct or is the textbook correct?
 

Attachments

  • 1716986810107.png
    1716986810107.png
    25.2 KB · Views: 128
Last edited:
Physics news on Phys.org
Yes, you are right. The textbook solution is wrong where it starts off with ##F_{net} = i_{ind}LBx_2 - i_{ind}LBx_1##.

As you noted, it should be ##F_{net} = i_{ind}LB(x_2) - i_{ind}LB(x_1)##,
where ##B(x_1)## is the magnetic field at ##x = x_1## and ##B(x_2)## is the magnetic field at ##x = x_2##.

I get an answer that's a factor of 10 different from yours. But I could be slipping up somewhere.
 
  • Like
Likes   Reactions: mymodded and MatinSAR
TSny said:
Yes, you are right. The textbook solution is wrong where it starts off with ##F_{net} = i_{ind}LBx_2 - i_{ind}LBx_1##.

As you noted, it should be ##F_{net} = i_{ind}LB(x_2) - i_{ind}LB(x_1)##,
where ##B(x_1)## is the magnetic field at ##x = x_1## and ##B(x_2)## is the magnetic field at ##x = x_2##.

I get an answer that's a factor of 10 different from yours. But I could be slipping up somewhere.
thanks a lot really appreciate it
 
  • Like
Likes   Reactions: berkeman

Similar threads

Replies
1
Views
870
Replies
4
Views
2K
Replies
12
Views
2K
  • · Replies 12 ·
Replies
12
Views
2K
  • · Replies 40 ·
2
Replies
40
Views
5K
  • · Replies 2 ·
Replies
2
Views
2K
  • · Replies 12 ·
Replies
12
Views
3K
  • · Replies 3 ·
Replies
3
Views
2K
Replies
7
Views
2K
  • · Replies 1 ·
Replies
1
Views
1K