Angle of deviation and angle of incidence?

Click For Summary

Homework Help Overview

The discussion revolves around a two-part physics problem concerning the angle of deviation and angular dispersion of light passing through a prism, specifically focusing on the refractive indices of violet and red light in silica flint glass.

Discussion Character

  • Exploratory, Assumption checking

Approaches and Questions Raised

  • Participants discuss the application of the refractive index and the apex angle in calculating the angle of deviation and angular dispersion. There are questions regarding the correctness of the initial assumptions made about the angles used in the calculations.

Discussion Status

Some participants have offered feedback on the original poster's approach, suggesting a potential misunderstanding regarding the use of the apex angle. The original poster has indicated progress in their understanding, but there is no explicit consensus on the correctness of the initial solution.

Contextual Notes

The problem includes specific values for the refractive indices of different colors of light and requires calculations based on these values, but the original poster has expressed uncertainty about their work and has requested clarification.

DrMcDreamy
Messages
68
Reaction score
0

Homework Statement



This is a two part problem:

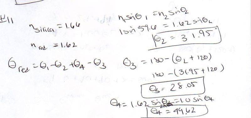
11) The index of refraction for violet light in silica flint glass is 1.66, and that for red light is 1.62.

attachment.php?attachmentid=32014&stc=1&d=1297118306.jpg


What is the angle of deviation for the red ray passing through a prism of apex angle 59.6◦ if the angle of incidence is 54.8◦? Answer in units of◦.

12) What is the angular dispersion of visible light with the same angle of incidence? Answer in units of◦.

Homework Equations



n1[tex]\theta[/tex]1=n2[tex]\theta[/tex]2

The Attempt at a Solution



My work:

attachment.php?attachmentid=32015&stc=1&d=1297118424.jpg


attachment.php?attachmentid=32017&stc=1&d=1297118618.jpg


Can you tell me if I did it right? TIA. Sorry for the bad pics & handwriting!
 

Attachments

  • DSC06486.jpg
    DSC06486.jpg
    13.6 KB · Views: 1,100
  • oiuoiu.jpg
    oiuoiu.jpg
    29.1 KB · Views: 1,014
  • jjbhobgho.jpg
    jjbhobgho.jpg
    39 KB · Views: 873
Physics news on Phys.org
Anybody?!
 
*BUMP* Anybody?!
 
I think you've used the apex angle for the initial angle of incidence of the red ray.
 
I figured it out ^thanks
 

Similar threads

  • · Replies 6 ·
Replies
6
Views
5K
  • · Replies 1 ·
Replies
1
Views
2K
  • · Replies 2 ·
Replies
2
Views
2K
Replies
11
Views
3K
  • · Replies 6 ·
Replies
6
Views
2K
  • · Replies 7 ·
Replies
7
Views
3K
  • · Replies 5 ·
Replies
5
Views
2K
  • · Replies 1 ·
Replies
1
Views
3K
  • · Replies 3 ·
Replies
3
Views
2K
Replies
6
Views
2K