Angular Momentum of a Uniform Rod

Click For Summary

Homework Help Overview

The problem involves a uniform rod of length 1.5 m and mass 2.8 kg, which is free to rotate about a hinge. A particle attached to a string collides with the rod, and the maximum angle after the collision is given as 45°. The participants are tasked with finding the mass of the particle and the energy dissipated during the collision.

Discussion Character

  • Mixed

Approaches and Questions Raised

  • Participants discuss the setup of the problem, including the equations of motion and energy considerations. There are attempts to apply formulas related to angular momentum and energy conservation. Some participants express confusion about specific values and the order of operations in their calculations.

Discussion Status

Several participants are actively engaging with the problem, sharing their attempts and questioning specific steps in their calculations. There is a recognition of the need for clarity in understanding the underlying principles rather than merely substituting values into equations. Some guidance has been offered regarding the interpretation of the equations, but no consensus has been reached on the correct approach or solution.

Contextual Notes

Participants are working under the constraints of homework rules, which prohibit direct solutions. There is a noted confusion regarding the use of angles in degrees versus radians, and the impact of this on their calculations.

Bob4321
Messages
4
Reaction score
0
<< Mentors have notified the OP to show their Attempt at a Solution >>[/color]

1. Homework Statement

A uniform rod of length L1 = 1.5 m and mass M = 2.8 kg is supported by a hinge at one end and is free to rotate in the vertical plane. The rod is released from rest in the position shown. A particle of mass m is supported by a thin string of length L2 = 1.1 m from the hinge. The particle sticks to the rod on contact. After the collision, θmax= 45°.

a)Find m (in kg)

b) How much energy is dissipated during the collision? (in J)

10-55.gif

Homework Equations



I found the question with different numbers but when I plug in mine. It's still wrong.
Screen Shot 2015-07-03 at 4.46.35 PM.png


Screen Shot 2015-07-03 at 4.38.58 PM.png
Screen Shot 2015-07-03 at 4.41.08 PM.png
Screen Shot 2015-07-03 at 4.41.18 PM.png
Screen Shot 2015-07-03 at 4.41.28 PM.png
Screen Shot 2015-07-03 at 4.41.35 PM.png


The Attempt at a Solution

 
Last edited by a moderator:
Physics news on Phys.org
Bob4321 said:

Homework Statement


A uniform rod of length L1 = 1.5 m and mass M = 2.8 kg is supported by a hinge at one end and is free to rotate in the vertical plane. The rod is released from rest in the position shown. A particle of mass m is supported by a thin string of length L2 = 1.1 m from the hinge. The particle sticks to the rod on contact. After the collision, θmax= 45°.

a)Find m (in kg)

b) How much energy is dissipated during the collision? (in J)

10-55.gif

Homework Equations



I found the question with different numbers but when I plug in mine. It's still wrong.
View attachment 85506

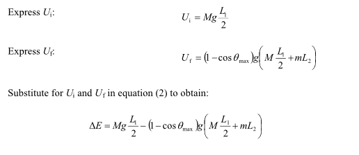
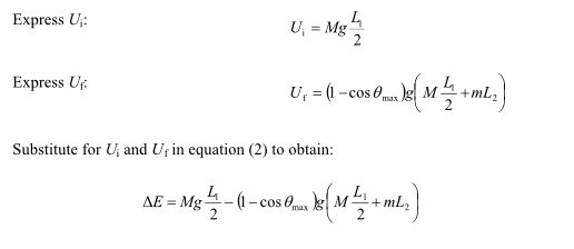
View attachment 85501 View attachment 85502 View attachment 85503 View attachment 85504 View attachment 85505

The Attempt at a Solution

Hello Bob4321. Welcome to PF.

Please show your attempt. What did you do in attempting to use that solution?
 
Solution Attempt:

Ok so for A:

ω1=((1/3)(2.8)(1.52))/ ((1/3)(2.8)(1.52))+m(1.12)√3(9.81m/s2)/1.5= (4.429kg/s)/(2.1kg)+1.21m

½(4.429kg/s)2/(2.1kg)+1.21m I don't know what to do now. Where did they get the .2 from in their example?
 
Last edited:
Bob4321 said:
Solution Attempt:

Ok so for A:

ω1=((1/3)(2.8)(1.52))/ ((1/3)(2.8)(1.52))+m(1.12)√3(9.81m/s2)/1.5= (4.429kg/s)/(2.1kg)+1.21m

½(4.429kg/s)2/(2.1kg)+1.21m I don't know what to do now. Where did they get the .2 from in their example?
What is (½)(1 - cos(θmax) ) ?

It looks like you have an issue regarding "order of operations". The entire expression, (⅓)(2.8)(1.52)+m(1.12) should be in the denominator. It's clear that in the solution you're attempting to mimic, the mass, m, is in the denominator.In my opinion: This method of obtaining an answer for an exercise is not to be recommended. If you don't know what quantities are being used, and why they're used, simply getting an answer to work out numerically isn't of much use.

Examining a worked out solution can indeed be very helpful, but don't just try to plug in some numbers into something that you don't understand.
 
Ok I have figured out that the .2 is from 1-cos but I still keep getting the wrong answer! Could you solve it so I can see what you did?
 
Last edited by a moderator:
For my problem the (1-cos45) is .48
 
Bob4321 said:
Ok I have figured out that the .2 is from 1-cos but I still keep getting the wrong answer! Could u solve it so I can see what you did?
That's not how we do things here at PF.

0.48 Is incorrect. Were you using 45 radians rather than 45° ?
 

Similar threads

  • · Replies 71 ·
3
Replies
71
Views
5K
  • · Replies 12 ·
Replies
12
Views
2K
  • · Replies 5 ·
Replies
5
Views
2K
  • · Replies 18 ·
Replies
18
Views
4K
Replies
10
Views
3K
  • · Replies 12 ·
Replies
12
Views
2K
Replies
23
Views
2K
  • · Replies 8 ·
Replies
8
Views
5K
  • · Replies 22 ·
Replies
22
Views
4K
  • · Replies 2 ·
Replies
2
Views
2K