Application of circularity of hybrid product

Click For Summary

Discussion Overview

The discussion revolves around a homework problem involving vector cross products and the manipulation of scalar multiples in the context of a specific equation. Participants are examining the transition between different forms of a mathematical expression, particularly focusing on the implications of negative signs and the application of the vector cross product identity.

Discussion Character

  • Homework-related
  • Mathematical reasoning

Main Points Raised

  • One participant questions the correctness of the transition from part (b) to part (c) of the problem, specifically regarding the arrangement of terms in the numerator and denominator.
  • Another participant points out the disappearance of a prefixed negative sign in the transition from (b) to (c), prompting further clarification.
  • There is a discussion about how to express the negative scalar in terms of vector manipulation, with one participant suggesting that -rCD can be rewritten as (-1)rCD.
  • Participants explore the implications of pulling out the negative scalar and how it affects the expression involving the cross product.
  • One participant confirms their understanding of manipulating negatives in vector expressions, indicating a grasp of the underlying mathematical principles.

Areas of Agreement / Disagreement

Participants appear to be exploring the problem collaboratively, with some agreement on the manipulation of negative scalars, but uncertainty remains regarding the specific transitions between the expressions. No consensus is reached on the correctness of the original problem's steps.

Contextual Notes

The discussion highlights the complexity of vector manipulation and the importance of understanding scalar multiplication in the context of cross products. There are unresolved aspects regarding the initial problem statement and the assumptions made during the transformations.

influx
Messages
162
Reaction score
1

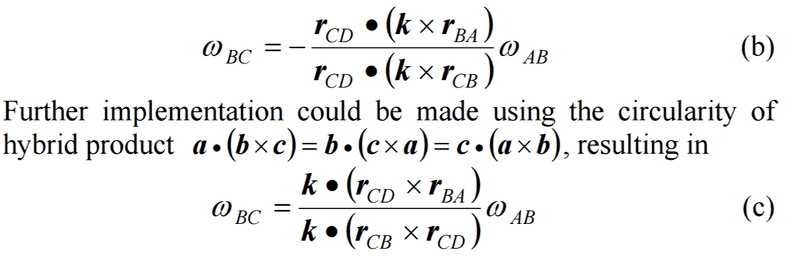
Homework Statement


http://photouploads.com/images/8ba21e.png
8ba21e.png

{moderator's not: Inserted image so it's visible without having to follow a link}

2. Homework Equations

a·(b x c) = b·(c x a)

The Attempt at a Solution


How did they get from the (b) to (c)? In particular, I am referring to the numerator and denominator of the fraction. I mean if you apply a·(b x c) = b·(c x a) then surely the terms inside the brackets (of both numerator and denominator) of part (c) should be the other way round?

I mean for instance rCD·(k x rBA) = k·(rBA x rCD) and not rCD·(k x rBA) = k·(rCD x rBA) as they got?
 
Last edited by a moderator:
Physics news on Phys.org
Did you happen to notice that the prefixed "-" sign also disappeared from (b) to (c)?...
 
  • Like
Likes   Reactions: influx
gneill said:
Did you happen to notice that the prefixed "-" sign also disappeared from (b) to (c)?...
Ah I never noticed that! So -rCD·(k x rBA) = -k·(rBA x rCD) but I'm still confused in terms of how they got from -k·(rBA x rCD) to k·(rCD x rBA)? I know that A x B = -B x A so -k·(rBA x rCD) can be written as -k·(-rCD x rBA) and I'm guessing the two negatives cancel somehow but don't know how..
 
-rCD can be written as (-1)rCD, the scalar -1 being "pulled out" of the vector. That scalar in turn can be moved out of the parentheses and applied to the vector -k.
 
gneill said:
-rCD can be written as (-1)rCD, the scalar -1 being "pulled out" of the vector. That scalar in turn can be moved out of the parentheses and applied to the vector -k.

So -k·((-1)rCD x rBA)=(-1)(-k)·(rCD x rBA) = k·(rCD x rBA)?

I was thinking it would be something along these lines but I wasn't sure how to pull out the negative when dealing with vectors.
 
influx said:
So -k·((-1)rCD x rBA)=(-1)(-k)·(rCD x rBA) = k·(rCD x rBA)?

I was thinking it would be something along these lines but I wasn't sure how to pull out the negative when dealing with vectors.
Yes that's good. A "negative" is just a scalar constant, -1. So you can manipulate it as you would any scalar multiplyer of a vector.
 

Similar threads

Replies
6
Views
3K
  • · Replies 1 ·
Replies
1
Views
4K
  • · Replies 12 ·
Replies
12
Views
2K
  • · Replies 5 ·
Replies
5
Views
5K
  • · Replies 46 ·
2
Replies
46
Views
9K
  • · Replies 14 ·
Replies
14
Views
2K
  • · Replies 5 ·
Replies
5
Views
3K
  • · Replies 5 ·
Replies
5
Views
6K
Replies
6
Views
3K
  • · Replies 4 ·
Replies
4
Views
2K