Beam width uncertainty, deflection

Click For Summary
SUMMARY

The discussion centers on calculating the uncertainty in the transverse coordinate (Δxf) of electrons and a marble when directed towards a target. For the scanning electron microscope scenario, the total uncertainty is defined by the equation Δxf = Δxi + (Δvx/vx) * xi, where Δxi represents the initial transverse coordinate uncertainty and Δvx is the uncertainty in transverse velocity. The optimal value of Δxi for minimizing Δxf is determined to be 0, indicating that the typical distance electrons miss the target is equal to Δvx. In contrast, for the marble drop, while the same formula applies, the relevance of diffraction is not applicable due to the marble's macroscopic nature.

PREREQUISITES
  • Understanding of uncertainty principles in quantum mechanics
  • Familiarity with the equations of motion for particles
  • Knowledge of electron diffraction phenomena
  • Basic principles of classical mechanics related to projectile motion
NEXT STEPS
  • Study the principles of quantum uncertainty in particle physics
  • Learn about electron diffraction and its implications in microscopy
  • Explore the equations of motion for both quantum and classical particles
  • Investigate the effects of aperture size on beam collimation in electron microscopy
USEFUL FOR

Students and professionals in physics, particularly those focusing on quantum mechanics, electron microscopy, and classical mechanics, will benefit from this discussion.

unscientific
Messages
1,728
Reaction score
13

Homework Statement



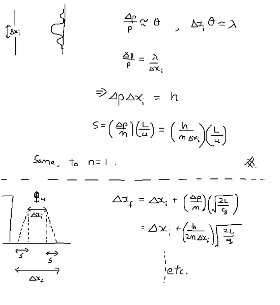
In a scanning electron microscope, a 0.3 keV electron beam, collimated by an
aperture of width ∆xi, is directed towards a target 1 m away from the aperture. Assuming a field-free region from aperture to target, the uncertainty ∆xf in the transverse
coordinate of the electron when it hits the target comes in part from the uncertainty
in the initial coordinate and in part from the uncertainty in the transverse velocity
∆vx. What is the typical distance by which the electrons miss the target, given that
the beam is aiming with the highest possible precision? Find the value of ∆xi that
gives the smallest total uncertainty ∆xf. Discuss quantitatively whether your result is
in accordance with electron diffraction of a slit of width ∆xi
. [10]
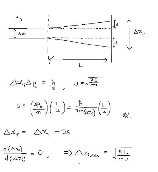
You now enter a contest in which the contestants drop a marble with a mass of
20 g from a tower onto a small target 25 m below. As for the electrons, find the value
of the uncertainty ∆xi in the initial transverse coordinate that gives the smallest total
uncertainty ∆xf at the ground. Comment on the relevance of your result. [5]

33b1f10.png


I'm not sure if I'm interpreting the question correctly..

Homework Equations





The Attempt at a Solution



9zlilx.png

301ohtd.png
 
Physics news on Phys.org
For part 1, the total uncertainty (Δxf) comes from the following: Δxf = Δxi + (Δvx/vx) * xi where vx is the velocity of the electron beam. The minimum total uncertainty (Δxf) will occur when Δxi is at its smallest value, which is 0. Therefore, the typical distance by which the electrons miss the target is equal to the uncertainty in the transverse velocity (Δvx). This result is in accordance with electron diffraction of a slit of width Δxi, since the smaller the width of the slit, the smaller the uncertainty in the position of the electrons. For part 2, we can use the same equation. The total uncertainty (Δxf) comes from the following: Δxf = Δxi + (Δvx/vx) * xi where vx is the velocity of the marble. The minimum total uncertainty (Δxf) will occur when Δxi is at its smallest value, which is 0. Therefore, the typical distance by which the marble misses the target is equal to the uncertainty in the transverse velocity (Δvx). This result is not as relevant in this case, since the marble is not a particle, and diffraction does not apply.
 

Similar threads

Replies
1
Views
2K
  • · Replies 4 ·
Replies
4
Views
2K
  • · Replies 1 ·
Replies
1
Views
2K
Replies
4
Views
3K
  • · Replies 0 ·
Replies
0
Views
4K
  • · Replies 8 ·
Replies
8
Views
2K
  • · Replies 4 ·
Replies
4
Views
6K
  • · Replies 0 ·
Replies
0
Views
3K
  • · Replies 48 ·
2
Replies
48
Views
5K
  • · Replies 6 ·
Replies
6
Views
4K