Boolean algebra simplification ?

Click For Summary
SUMMARY

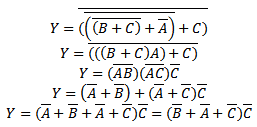
This discussion focuses on the simplification of Boolean algebra expressions, specifically referencing DeMorgan’s Theorems. A participant expresses confusion regarding the transition from one line of the simplification to another, questioning the use of addition versus multiplication. The conversation highlights the simplification of the expression ##(\overline{AC})\overline{C}##, indicating a more efficient approach to the problem.

PREREQUISITES
  • Understanding of Boolean algebra fundamentals
  • Familiarity with DeMorgan’s Theorems
  • Basic skills in algebraic manipulation of logical expressions
  • Knowledge of simplification techniques in digital logic design
NEXT STEPS
  • Study DeMorgan’s Theorems in detail
  • Practice Boolean algebra simplification techniques
  • Explore applications of Boolean algebra in digital circuit design
  • Learn about Karnaugh maps for visual simplification of Boolean expressions
USEFUL FOR

Students studying digital logic design, educators teaching Boolean algebra, and anyone looking to improve their skills in simplifying logical expressions.

KaliBanda
Messages
4
Reaction score
0

Homework Statement



t1eVU.png


Homework Equations



DeMorgan’s Theorems.

The Attempt at a Solution



xBT1D.png


I've had a go at it, not sure if I'm heading in the right direction though.

Thanks for any help.
 
Physics news on Phys.org
Where does the second + in line 4 come from? I would expect * there, as you had it in line 3.
Anyway, I would use another direction there:
##(\overline{AC})\overline{C}## has a nice simplification.
 

Similar threads

  • · Replies 5 ·
Replies
5
Views
7K
Replies
8
Views
3K
Replies
5
Views
3K
  • · Replies 3 ·
Replies
3
Views
3K
  • · Replies 9 ·
Replies
9
Views
5K
  • · Replies 11 ·
Replies
11
Views
2K
  • · Replies 4 ·
Replies
4
Views
5K
  • · Replies 5 ·
Replies
5
Views
2K
Replies
3
Views
7K
  • · Replies 2 ·
Replies
2
Views
3K