Bresar, Lemma 1.3 - Real Quaternions .... Division Algebras

  • Context: Undergrad 
  • Thread starter Thread starter Math Amateur
  • Start date Start date
  • Tags Tags
    Division Quaternions
Click For Summary

Discussion Overview

The discussion revolves around the proof of Lemma 1.3 from Matej Bresar's book "Introduction to Noncommutative Algebra," specifically focusing on the properties of real quaternions and division algebras. Participants seek clarification on the definitions and implications of the multiplication operations involved in the lemma.

Discussion Character

  • Exploratory
  • Technical explanation
  • Conceptual clarification
  • Debate/contested
  • Mathematical reasoning

Main Points Raised

  • One participant, Peter, expresses confusion regarding the proof that ##ij = -ji = k## and questions the necessity of defining a new multiplication operation ##\circ## in the context of the lemma.
  • Another participant explains that ##ij = k## is true by definition, and the focus should be on proving that ##ij + ji = 0_D##, leading to a detailed mathematical derivation.
  • Further elaboration is provided on the properties of the multiplication operations, particularly how the commutativity of certain elements affects the calculations.
  • One participant reflects on the broader goal of demonstrating that division algebras exist over ##\mathbb{R}##, including the complex numbers, quaternions, and possibly octonions, and discusses the relevance of real number properties in this context.
  • Participants discuss the implications of Bresar's definitions and the challenges in proving that the examples provided are the only division algebras over ##\mathbb{R}##.

Areas of Agreement / Disagreement

Participants express varying degrees of understanding regarding the definitions and implications of the multiplication operations. There is no clear consensus on the necessity of the new multiplication definition or the overall clarity of the lemma's proof.

Contextual Notes

Participants note that the discussion involves complex mathematical reasoning and that certain assumptions about the properties of the elements involved may not be explicitly stated. The derivation steps and the definitions used in the lemma are critical to understanding the arguments presented.

Who May Find This Useful

This discussion may be useful for readers interested in noncommutative algebra, division algebras, and the properties of quaternions, particularly those studying Bresar's work or similar mathematical concepts.

Math Amateur
Gold Member
MHB
Messages
3,920
Reaction score
48
I am reading Matej Bresar's book, "Introduction to Noncommutative Algebra" and am currently focussed on Chapter 1: Finite Dimensional Division Algebras ... ...

I need help with some aspects of the proof of Lemma 1.3 ... ...

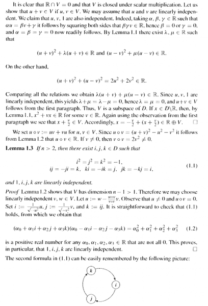
Lemma 1.3 reads as follows:
?temp_hash=34c5196f407ac73e36866c16ee629634.png


In the above text by Matej Bresar we read the following:

" ... ... Set ##i := \frac{1}{ \sqrt{ -u^2 } } u , \ \ j := \frac{1}{ \sqrt{ -v^2 } } v## , and ##k := ij##.

It is straightforward to check that (1.1) holds ... ... "
I need some help in proving that ##ij = -ji = k## ... sadly I cannot get past the point of substituting the relevant formulas ...

Hope someone can help ...Peter

EDIT ... I must admit that as I reflect further on Lemma 1.3 I am more confused than I first thought ... why is Bresar defining another 'multiplication' in V ... that is why define ##\circ## ... we already have a multiplication from D ... and how does the new definition ##\circ## play out when validating 1.1 ...============================================================================

In order for readers of the above post to appreciate the context of the post I am
providing pages 1-3 of Bresar ... as follows ...
?temp_hash=34c5196f407ac73e36866c16ee629634.png

?temp_hash=34c5196f407ac73e36866c16ee629634.png

?temp_hash=34c5196f407ac73e36866c16ee629634.png
 

Attachments

  • Bresar - Lemma 1.3 ... ... .png
    Bresar - Lemma 1.3 ... ... .png
    71.8 KB · Views: 897
  • Bresar - Page 1.png
    Bresar - Page 1.png
    34.7 KB · Views: 637
  • Bresar - Page 2.png
    Bresar - Page 2.png
    66.8 KB · Views: 595
  • Bresar - Page 3 ... ....png
    Bresar - Page 3 ... ....png
    41.3 KB · Views: 639
Last edited:
Physics news on Phys.org
Math Amateur said:
I need some help in proving that ##ij=−ji=k## ... sadly I cannot get past the point of substituting the relevant formulas
That ##ij=k## is true by definition of ##k##. So all we have to prove is that ##ij=-ji##, ie that ##ij+ji=0_D##. Here goes:

\begin{align*}
ij+ji&=\left(\frac1{\sqrt{-u^2}}u\right)\left(\frac1{\sqrt{-v^2}}v\right)
+\left(\frac1{\sqrt{-v^2}}v\right)\left(\frac1{\sqrt{-u^2}}u\right)\\
&\textrm{[I've now edited the above line to remove the typo pointed out by fresh_42 below. Thank you]}\\
&=\frac{uv+vu}{\sqrt{u^2v^2}}
\end{align*}
which is zero iff the numerator is zero.

But the numerator is ##uv+vu=u\circ v=0##, as claimed in the second line of the proof.

To see that that claim is true, we calculate as in the alignment below. But first, note that ##v^2## commutes with everything, since ##v^2\in\mathbb R'## so that ##v^2=a1_D## for some ##a\in\mathbb R,\ a\leq 0##, and ##1_D## commutes with everything, as does scalar multiplication:

\begin{align*}
u\circ v&=uv+vw\\
&=\left(w-\frac{w\circ v}{v\circ v}v\right)v+v\left(w-\frac{w\circ v}{v\circ v}v\right)\\
&=wv+vw-\frac{(w\circ v)v^2+v(w\circ v)v}{v\circ v}\\
&=wv+vw-\frac{(wv+vw)v^2+v(wv+vw)v}{2v^2}\\
&=\frac{2wvv^2+2vwv^2-(wv+vw)v^2-v(wv+vw)v}{2v^2}\\
&=\frac{2wvv^2+2vwv^2-wvv^2-vwv^2-vwv^2-v^2wv}{2v^2}\\
&=\frac{2wvv^2+2vwv^2-wvv^2-vwv^2-vwv^2-wvv^2}{2v^2}\\
&=\frac{0}{2v^2}=0
\end{align*}
where we have repeatedly used the ability of ##v^2## to commute with anything else, to move it about.
 
Last edited:
  • Like
Likes   Reactions: Math Amateur
Just a few remarks. Firstly, ignore the last bracket in @andrewkirk 's second line, it's a cut+paste typo. Secondly, I'll try to answer
Math Amateur said:
I must admit that as I reflect further on Lemma 1.3 I am more confused than I first thought ... why is Bresar defining another 'multiplication' in V ...
I think we have to consider the following: Goal of all this is, to show there are division algebras over ##\mathbb{R}##, namely the complex numbers ##\mathbb{C}=\mathbb{R}+V=\mathbb{R}+i\cdot\mathbb{R}##, the quaternions ##\mathbb{H}=\mathbb{R}+V=\mathbb{R}+i\cdot\mathbb{R}+j\cdot\mathbb{R}+k\cdot\mathbb{R}## and possibly the octonions as well.

Therefore Lemma 1.2 which proves that ##V## (the imaginary part of our ##D##) is a linear subspace.

Many of the techniques here, e.g. Lemma 1.1., are simply a reduction to formulas in the real numbers, where we know how to do calculations, whereas in a potential division algebra ##D## we don't - yet. Furthermore, we have to use the specialties of the real numbers somehow, namely that it is an Archimedean ordered field, which Lemma 1.1. is closely related to, or that squares in ##\mathbb{R}## are always non-negative.

So Bresar uses the structure in ##\mathbb{R}## to deduce insights on ##D##. As he also knows, where this ends, namely at ##\mathbb{C},\mathbb{H}## and ##\mathbb{O}## and that ##i\,\cdot\,j=k=-j\,\cdot\,i## holds, it makes sense to examine the "zeroness" of ##i \circ j = i\cdot j + j\cdot i## which explains the additional (now made commutative again(!)) multiplication. In addition ##i,j,k## have to be defined somehow, only by the use of a construction with real numbers. The entire difficulty here is not to show that ##\mathbb{C},\mathbb{H},\mathbb{O}## are division algebras, but to show they are the only ones. Therefore we need necessary conditions for ##D## being a division algebra over ##\mathbb{R}##, the more the better.

At least this is what I hope for, because to show that the examples are actually division algebras, we could simply perform some calculations instead.
 
  • Like
Likes   Reactions: Math Amateur
Andrew, fresh_42 ... thanks for the posts ...

Just reflecting on what you have written ...

Thanks again ... appreciate your help and your insights ...

Peter
 

Similar threads

  • · Replies 6 ·
Replies
6
Views
2K
  • · Replies 4 ·
Replies
4
Views
2K
  • · Replies 2 ·
Replies
2
Views
2K
  • · Replies 6 ·
Replies
6
Views
2K
  • · Replies 2 ·
Replies
2
Views
2K
  • · Replies 14 ·
Replies
14
Views
2K
  • · Replies 9 ·
Replies
9
Views
2K
  • · Replies 11 ·
Replies
11
Views
2K
Replies
2
Views
2K
  • · Replies 2 ·
Replies
2
Views
2K