Frobenius Theorem - Bresar, Theorem 1.4 ....

  • Context: Undergrad 
  • Thread starter Thread starter Math Amateur
  • Start date Start date
  • Tags Tags
    Frobenius Theorem
Click For Summary

Discussion Overview

The discussion revolves around the proof of Theorem 1.4 from Matej Bresar's book "Introduction to Noncommutative Algebra," specifically focusing on aspects related to finite dimensional division algebras. Participants seek clarification on the properties of a defined element \( e \) and its implications within the context of the theorem.

Discussion Character

  • Exploratory
  • Technical explanation
  • Debate/contested
  • Mathematical reasoning

Main Points Raised

  • One participant questions why the element \( e := v + \frac{i \circ v}{2} i + \frac{j \circ v}{2} j + \frac{k \circ v}{2} k \) is nonzero, suggesting that if \( e = 0 \), it would lead to a contradiction regarding the linear independence of \( v \) from \( i, j, k \).
  • Another participant expresses confusion about the identities \( eij = -iej = ije \) mentioned in the theorem, asking for clarification on how these lead to a contradiction with \( ij = k \).
  • Some participants propose that the theorem may only hold for associative division algebras, raising concerns about the implications of non-associative structures like octonions.
  • There is a discussion about the algebra tower of fields, detailing the relationships between \( \mathbb{Q}, \mathbb{R}, \mathbb{C}, \mathbb{H}, \) and \( \mathbb{O} \) and their dimensions over \( \mathbb{R} \).
  • Clarifications are sought on why defining \( e \) implies that \( i \circ e = j \circ e = k \circ e = 0 \), with references to specific algebraic rules and properties of the elements involved.

Areas of Agreement / Disagreement

Participants express varying levels of understanding regarding the proof and its implications. There is no consensus on the clarity of Bresar's presentation or the validity of the theorem in non-associative contexts. Multiple competing views remain regarding the interpretation of the identities and the conditions under which the theorem holds.

Contextual Notes

Participants note that certain assumptions and properties, such as the linear independence of \( v \) and the nature of the coefficients in the definition of \( e \), are crucial but not fully elaborated in the text. The discussion highlights the need for careful consideration of associativity in the context of division algebras.

Math Amateur
Gold Member
MHB
Messages
3,920
Reaction score
48
I am reading Matej Bresar's book, "Introduction to Noncommutative Algebra" and am currently focussed on Chapter 1: Finite Dimensional Division Algebras ... ...

I need help with some aspects of the proof of Theorem 1.4 ... ...

Theorem 1.4 reads as follows:
?temp_hash=82506d1d97a8ee119194f68506d0bce7.png


Questions 1(a) and 1(b)

In the above text by Matej Bresar we read the following:

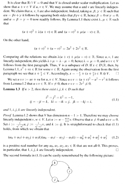
" ... ... Suppose ##n \gt 4##. Let ##i, j, k## be the elements from Lemma 1.3.

Since the dimension of ##V## is ##n - 1##, there exists ##v \in V## not lying in the linear span of ##i, j, k##.

Therefore ##e := v + \frac{i \circ v}{2} i + \frac{j \circ v}{2} j + \frac{k \circ v}{2} k##

is a nonzero element in ##V## and it satisfies ##i \circ e = j \circ e = k \circ e = 0##... ... "My questions are as follows:

(1a) Can someone please explain exactly why ##e := v + \frac{i \circ v}{2} i + \frac{j \circ v}{2} j + \frac{k \circ v}{2} k## is a nonzero element in ##V##?

(1b) ... ... and further, can someone please show how ##e := v + \frac{i \circ v}{2} i + \frac{j \circ v}{2} j + \frac{k \circ v}{2} k## satisfies ##i \circ e = j \circ e = k \circ e = 0##?Question 2

In the above text by Matej Bresar we read the following:

" ... ... However, from the first two identities we conclude ##eij = -iej = ije##, which contradicts the third identity since ##ij = k## ... ... "I must confess Bresar has lost me here ... I'm not even sure what identities he is referring to ... but anyway, can someone please explain why/how we can conclude that ##eij = -iej = ije## and, further, how this contradicts ##ij = k##?
Hope someone can help ...

Help will be appreciated ... ...

PeterThe above post refers to Lemma 1.3.

Lemma 1.3 reads as follows:
?temp_hash=82506d1d97a8ee119194f68506d0bce7.png

=====================================================

In order for readers of the above post to appreciate the context of the post I am providing pages 1-4 of Bresar ... as follows ...
?temp_hash=82506d1d97a8ee119194f68506d0bce7.png

?temp_hash=82506d1d97a8ee119194f68506d0bce7.png

?temp_hash=82506d1d97a8ee119194f68506d0bce7.png

?temp_hash=82506d1d97a8ee119194f68506d0bce7.png
 

Attachments

  • Bresar - Theorem 1.4.png
    Bresar - Theorem 1.4.png
    30.3 KB · Views: 1,025
  • Bresar - Lemma 1.3 ... ... .png
    Bresar - Lemma 1.3 ... ... .png
    71.8 KB · Views: 752
  • Bresar - Page 1.png
    Bresar - Page 1.png
    34.7 KB · Views: 679
  • Bresar - Page 2.png
    Bresar - Page 2.png
    66.8 KB · Views: 614
  • Bresar - Page 3 ... ....png
    Bresar - Page 3 ... ....png
    41.3 KB · Views: 635
  • Bresar - Page 4 ... ....png
    Bresar - Page 4 ... ....png
    38.8 KB · Views: 647
Last edited:
Physics news on Phys.org
If we assume ##e := v+\frac{i\circ v}{2}i+\frac{j\circ v}{2}j+\frac{k\circ v}{2}k=0## then ##v=-\frac{i\circ v}{2}i-\frac{j\circ v}{2}j-\frac{k\circ v}{2}k##. Now this would imply (in contrast to our assumption) that ##v \in lin_\mathbb{R}\{i,j,k\}## if the coefficients ##\frac{i\circ v}{2},\frac{j\circ v}{2},\frac{k\circ v}{2}## were all real. But this follows from the last two lines directly ahead of Lemma 1.3. where he shows that they have to be real.
(Hint: As a general rule: It's always helpful to ask "what if not" when one tries to understand a reasoning. I do this quasi permanently when I read a mathematical text. It's the most important question of all.)

What bothers me a lot more, is the theorem itself, because it only holds for associative division algebras ##D##, since the octonions build a non-associative division algebra of dimension ##8## over the reals. Thus somewhere in the entire process, there must be a hidden usage of associativity. Where? And why doesn't he mention this? Maybe it's within the line with ##eij##. But somewhere it has to be.

The algebra tower goes like this:
##\mathbb{Q}## - prime field of characteristic ##0##
##\mathbb{R}## - limits gained, field, topological closure of ##\mathbb{Q}##, ##\dim_\mathbb{R} = 1##
##\mathbb{C}## - solvability gained, algebraic closure of ##\mathbb{R}##, ##\dim_\mathbb{R} = 2##
##\mathbb{H}## - commutativity lost, skew-field, ##\dim_\mathbb{R} = 4##
##\mathbb{O}## - associativity lost, division ring, ##\dim_\mathbb{R} = 8##
 
Last edited:
  • Like
Likes   Reactions: Math Amateur
fresh_42 said:
If we assume ##e := v+\frac{i\circ v}{2}i+\frac{j\circ v}{2}j+\frac{k\circ v}{2}k=0## then ##v=-\frac{i\circ v}{2}i-\frac{j\circ v}{2}j-\frac{k\circ v}{2}k##. Now this would imply (in contrast to our assumption) that ##v \in lin_\mathbb{R}\{i,j,k\}## if the coefficients ##\frac{i\circ v}{2},\frac{j\circ v}{2},\frac{k\circ v}{2}## were all real. But this follows from the last two lines directly ahead of Lemma 1.3. where he shows that they have to be real.
(Hint: As a general rule: It's always helpful to ask "what if not" when one tries to understand a reasoning. I do this quasi permanently when I read a mathematical text. It's the most important question of all.)

What bothers me a lot more, is the theorem itself, because it only holds for associative division algebras ##D##, since the octonions build a non-associative division algebra of dimension ##8## over the reals. Thus somewhere in the entire process, there must be a hidden usage of associativity. Where? And why doesn't he mention this? Maybe it's within the line with ##eij##. But somewhere it has to be.

The algebra tower goes like this:
##\mathbb{Q}## - prime field of characteristic ##0##
##\mathbb{R}## - limits gained, field, topological closure of ##\mathbb{Q}##, ##\dim_\mathbb{R} = 1##
##\mathbb{C}## - solvability gained, algebraic closure of ##\mathbb{R}##, ##\dim_\mathbb{R} = 2##
##\mathbb{H}## - commutativity lost, skew-field, ##\dim_\mathbb{R} = 4##
##\mathbb{O}## - associativity lost, division ring, ##\dim_\mathbb{R} = 8##
Thanks for the help fresh_42 ...

You write:

" ... ... If we assume ##e := v+\frac{i\circ v}{2}i+\frac{j\circ v}{2}j+\frac{k\circ v}{2}k=0## then ##v=-\frac{i\circ v}{2}i-\frac{j\circ v}{2}j-\frac{k\circ v}{2}k##. Now this would imply (in contrast to our assumption) that ##v \in lin_\mathbb{R}\{i,j,k\}## if the coefficients ##\frac{i\circ v}{2},\frac{j\circ v}{2},\frac{k\circ v}{2}## were all real. But this follows from the last two lines directly ahead of Lemma 1.3. where he shows that they have to be real. ... ... "

So ... this shows that v must be nonzero ... but I am still not sure why exactly ##e \in v## ... ... can you help ... ?Also ,,, I remain unsure on exactly why/how defining e as

##e := v+\frac{i\circ v}{2}i+\frac{j\circ v}{2}j+\frac{k\circ v}{2}##

implies that

##i \circ e = j \circ e = k \circ e = 0##?Can you help?

Peter
 
Math Amateur said:
Thanks for the help fresh_42 ...

You write:

" ... ... If we assume ##e := v+\frac{i\circ v}{2}i+\frac{j\circ v}{2}j+\frac{k\circ v}{2}k=0## then ##v=-\frac{i\circ v}{2}i-\frac{j\circ v}{2}j-\frac{k\circ v}{2}k##. Now this would imply (in contrast to our assumption) that ##v \in lin_\mathbb{R}\{i,j,k\}## if the coefficients ##\frac{i\circ v}{2},\frac{j\circ v}{2},\frac{k\circ v}{2}## were all real. But this follows from the last two lines directly ahead of Lemma 1.3. where he shows that they have to be real. ... ... "

So ... this shows that v must be nonzero
It implies ##e \neq 0##. ##v\neq 0## is already guaranteed by the choice of ##v \notin lin_\mathbb{R}\{i,j,k\}##.
... but I am still not sure why exactly ##e \in v## ... ... can you help ... ?
Lemma 1.2.: ##V## is a linear subspace. So with ##v,i,j,k \in V## (##v## by assumption, ##i,j,k## by their definition), hence also ##e = v + c_1\cdot i +c_2 \cdot j +c_3 \cdot k \in V## holds.
Also ,,, I remain unsure on exactly why/how defining e as

##e := v+\frac{i\circ v}{2}i+\frac{j\circ v}{2}j+\frac{k\circ v}{2}##

implies that

##i \circ e = j \circ e = k \circ e = 0##?
We have to use the following rules here:
  • ##u \circ (r \cdot w) = r \cdot (u \circ w)## for all ##r \in \mathbb{R}## and ##u,w \in V##
  • The coefficients ##c_1,c_2,c_3## in the definition of ##e## are all real. (See the last two lines before Lemma 1.3.)
  • Finally ##i \circ j = j \circ k = k \circ i = 0## by their definition and ##u \circ u = -2## for all ##u \in \{i,j,k\}##
Now
$$\begin{align*} i \circ e &= i \circ v + i \circ (c_1\cdot i) + i \circ (c_2\cdot j) + i \circ (c_3\cdot k)
\\ &= i \circ v + c_1 \cdot (i \circ i) + c_2 \cdot (i \circ j) + c_3 \cdot (i \circ k)
\\ &= i \circ v - 2 \cdot c_1
\\ &= iv+vi-2 \cdot (\frac{iv}{2}+\frac{vi}{2})
\\ &= 0\end{align*}$$
It's been now the second time Bresar has hidden the essential hint within these two lines ahead of Lemma 1.3. Would have been a lot easier to see, if he had numbered this as some Corollary. Anyway. I admit it's been a bit tricky to see, but I think it would have helped you a lot to "play" with those formulas on your own: for practice and for the feeling of success if you found out. This way, I thank you for giving me this feeling, but it would have been better placed on your side. I know it's frustrating to star at things with the "knowledge" in mind: 'This should be obvious, why can't I see?' - and be ensured I know this from an uncounted number of own experiences, however, I'm afraid it's part of the game.
 
  • Like
Likes   Reactions: Math Amateur
fresh_42 said:
It implies ##e \neq 0##. ##v\neq 0## is already guaranteed by the choice of ##v \notin lin_\mathbb{R}\{i,j,k\}##.

Lemma 1.2.: ##V## is a linear subspace. So with ##v,i,j,k \in V## (##v## by assumption, ##i,j,k## by their definition), hence also ##e = v + c_1\cdot i +c_2 \cdot j +c_3 \cdot k \in V## holds.

We have to use the following rules here:
  • ##u \circ (r \cdot w) = r \cdot (u \circ w)## for all ##r \in \mathbb{R}## and ##u,w \in V##
  • The coefficients ##c_1,c_2,c_3## in the definition of ##e## are all real. (See the last two lines before Lemma 1.3.)
  • Finally ##i \circ j = j \circ k = k \circ i = 0## by their definition and ##u \circ u = -2## for all ##u \in \{i,j,k\}##
Now
$$\begin{align*} i \circ e &= i \circ v + i \circ (c_1\cdot i) + i \circ (c_2\cdot j) + i \circ (c_3\cdot k)
\\ &= i \circ v + c_1 \cdot (i \circ i) + c_2 \cdot (i \circ j) + c_3 \cdot (i \circ k)
\\ &= i \circ v - 2 \cdot c_1
\\ &= iv+vi-2 \cdot (\frac{iv}{2}+\frac{vi}{2})
\\ &= 0\end{align*}$$
It's been now the second time Bresar has hidden the essential hint within these two lines ahead of Lemma 1.3. Would have been a lot easier to see, if he had numbered this as some Corollary. Anyway. I admit it's been a bit tricky to see, but I think it would have helped you a lot to "play" with those formulas on your own: for practice and for the feeling of success if you found out. This way, I thank you for giving me this feeling, but it would have been better placed on your side. I know it's frustrating to star at things with the "knowledge" in mind: 'This should be obvious, why can't I see?' - and be ensured I know this from an uncounted number of own experiences, however, I'm afraid it's part of the game.
Thanks so much for the assistance fresh_42 ... your post was extremely helpful ...

But I need some further help ...

You write:

" ... ... ##u \circ (r \cdot w) = r \cdot (u \circ w)## for all ##r \in \mathbb{R}## and ##u,w \in V## ... ..."

I am having trouble understanding why this is true ...

My thoughts are as follows:##u \circ (r \cdot w) = u (r \cdot w) + ( r \cdot w) u##

##= u( r \cdot w ) + r \cdot ( wu)## ... ... ... ... ... (1)

and

##r \cdot ( u \circ w ) = r \cdot ( uw + wu )##

##= r \cdot (uw ) + r \cdot (wu)## ... ... ... ... ... (2)Now, we require expression (1) to be equal to expression (2) ...

For this to be true we require ...

##u( r \cdot w ) = r \cdot (uw )## ... ... but ... ... why is this true ... the scalar ##r## cannot commute with vectors ##u## or ##w## ... ?Can you help?

Peter***EDIT***

SOLVED?

I have been doning some checking of the axioms for an associative algebra with identity such as a real division algebra D nd have found that a fundamental axiom involving multiplication of elements of D and multiplication by a scalar (i.e. a real ) is the following:

##r \cdot (uw) = ( r \cdot u) w = u ( r \cdot w )##

and this, I think, answers my problem in needing the equality

##u( r \cdot w ) = r \cdot (uw )## Is my reasoning correct?

Peter
 
Last edited:
  • Like
Likes   Reactions: fresh_42
Yes, this is correct. To be honest, I hadn't thought about it very much. Because we don't distinguish between left and right division algebras (rings), scalars (elements of ##\mathbb{R}##) can be applied from both sides with identical result (and ##\circ## is defined with ordinary multiplications).

(You're on a good track questioning everything! :thumbup:)
 
Last edited:
  • Like
Likes   Reactions: Math Amateur
Thanks for all your help fresh_42 ... it has assisted me a great deal in trying to understand division algebras ...

Peter
 

Similar threads

  • · Replies 2 ·
Replies
2
Views
2K
  • · Replies 3 ·
Replies
3
Views
2K
  • · Replies 9 ·
Replies
9
Views
2K
  • · Replies 6 ·
Replies
6
Views
2K
  • · Replies 11 ·
Replies
11
Views
2K
  • · Replies 2 ·
Replies
2
Views
2K
Replies
3
Views
2K
Replies
2
Views
2K
  • · Replies 4 ·
Replies
4
Views
2K
  • · Replies 4 ·
Replies
4
Views
2K