Calculate Total Energy: Solve Homework Statement

Click For Summary
SUMMARY

The discussion centers on calculating the total energy of a bowling ball using the formula Total energy = Translational kinetic energy + Rotational kinetic energy. The correct calculation involves using the given moment of inertia and squaring the angular velocity, resulting in a total energy of 49.152 Joules. The error in the alternative solution stemmed from incorrect assumptions about the bowling ball's density and failure to square the angular velocity. The original poster's method and result are confirmed as accurate.

PREREQUISITES
  • Understanding of translational and rotational kinetic energy concepts
  • Familiarity with the moment of inertia and its significance in physics
  • Knowledge of angular velocity and its calculation
  • Ability to apply the equations of motion in rotational dynamics
NEXT STEPS
  • Review the principles of rotational dynamics and moment of inertia
  • Study the derivation and application of kinetic energy formulas in physics
  • Learn about different shapes and their respective moments of inertia
  • Explore common mistakes in physics problem-solving and how to avoid them
USEFUL FOR

Students studying physics, particularly those focusing on mechanics, as well as educators looking for clarification on energy calculations involving rotational motion.

Neon32
Messages
68
Reaction score
1

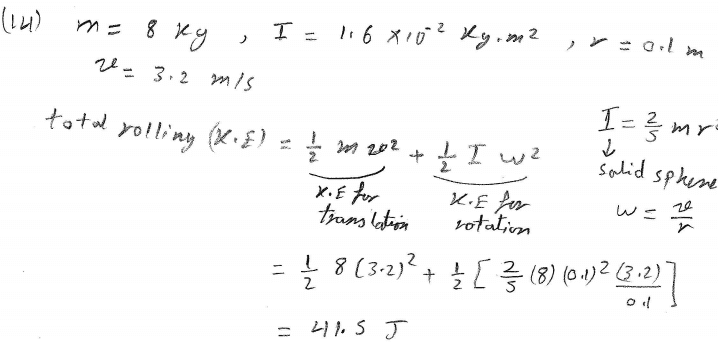
Homework Statement



upload_2016-12-25_13-37-11.png


Homework Equations


Total energy = Translational kinetic energy + Rotational kinetic energy
Total energy= 1/2 m V2 + 1/2 I W2

The Attempt at a Solution


W= v/r = 3.20/0.100 = 32 rad/sec
Total energy= 1/2 m V2+ 1/2 I W[2
Total energy = 1/2 (8)(3.20)2 + 1/2 (1.60x10-2) (32)2=49.152 Joule

I found a different answer in solution. Why did he find the moment of inerta? it was already given in the problem + why didn't he square the angular velocity? Please tell me why he did that and if my answer or his answer is correct.
 

Attachments

  • upload_2016-12-25_13-44-2.png
    upload_2016-12-25_13-44-2.png
    16.8 KB · Views: 499
Physics news on Phys.org
Your method and result are correct. His is not.

The problem did not say that the bowling ball is a sphere of uniform density: the fact that the problem supplied the moment of inertia is evidence of this. So his assumption that it is a uniform sphere was flawed and his calculation of the moment of inertia was not only unnecessary but incorrect.

That he failed to square the angular velocity is also an error.
 
  • Like
Likes   Reactions: Chestermiller
gneill said:
Your method and result are correct. His is not.

The problem did not say that the bowling ball is a sphere of uniform density: the fact that the problem supplied the moment of inertia is evidence of this. So his assumption that it is a uniform sphere was flawed and his calculation of the moment of inertia was not only unnecessary but incorrect.

That he failed to square the angular velocity is also an error.
Alright. thanks for your help :).
 

Similar threads

  • · Replies 12 ·
Replies
12
Views
3K
  • · Replies 2 ·
Replies
2
Views
2K
Replies
7
Views
2K
  • · Replies 4 ·
Replies
4
Views
2K
Replies
4
Views
2K
  • · Replies 30 ·
2
Replies
30
Views
2K
  • · Replies 8 ·
Replies
8
Views
2K
  • · Replies 8 ·
Replies
8
Views
2K
Replies
6
Views
2K
  • · Replies 17 ·
Replies
17
Views
2K