Calculating Curve Integrals with the Del Operator: A Pain in the Brain?

Click For Summary
SUMMARY

The forum discussion centers on the challenges of calculating curve integrals using the Del operator. Users confirmed the correctness of divergence and curl calculations through Wolfram Alpha. However, they expressed difficulty in verifying the curve integral, indicating that this aspect of vector calculus remains complex and problematic for many learners.

PREREQUISITES
  • Understanding of vector calculus concepts, specifically the Del operator.
  • Familiarity with divergence and curl operations.
  • Experience using computational tools like Wolfram Alpha for verification.
  • Basic knowledge of curve integrals and their applications.
NEXT STEPS
  • Study the properties and applications of the Del operator in vector calculus.
  • Learn techniques for calculating curve integrals in detail.
  • Explore advanced verification methods for vector calculus problems using software tools.
  • Investigate common pitfalls in calculating divergence and curl to enhance understanding.
USEFUL FOR

Students and professionals in mathematics, physics, and engineering who are grappling with vector calculus concepts, particularly those focusing on curve integrals and the Del operator.

Karl Karlsson
Messages
104
Reaction score
12
Homework Statement
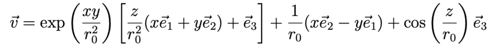
Consider the vector field
##\vec v = exp(\frac {xy} {r_0^2}) [\frac {z} {r_0^2} (x\vec e_1 + y\vec e_2) + \vec e_3] + \frac {1} {r_0} (x\vec e_2 - y\vec e_1) + cos(\frac {z} {r_0})\vec e_3##
where ##r_0## is a constant with dimension length.

a) Calculate ##\nabla\cdot\vec v## and ##\nabla\times\vec v##.
b)Calculate the circulation integral $$\oint_Γ \vec v \,d\vec S$$ where Γ is the curve that is parameterized by ## x = r_0cos(t), y = r_0sin(t), z = r_0cos^2(2t), (1 < t < 2\pi)##
Relevant Equations
##\vec v = exp(\frac {xy} {r_0^2}) [\frac {z} {r_0^2} (x\vec e_1 + y\vec e_2) + \vec e_3] + \frac {1} {r_0} (x\vec e_2 - y\vec e_1) + cos(\frac {z} {r_0})\vec e_3##
My attempt is below. Could somebody please check if everything is correct?
Skärmavbild 2020-09-04 kl. 18.59.53.png

Skärmavbild 2020-09-04 kl. 19.00.04.png

Skärmavbild 2020-09-04 kl. 19.00.13.png

Thanks in advance!
 

Attachments

  • Skärmavbild 2020-09-04 kl. 18.38.51.png
    Skärmavbild 2020-09-04 kl. 18.38.51.png
    7.9 KB · Views: 217
  • Skärmavbild 2020-09-04 kl. 18.59.53.png
    Skärmavbild 2020-09-04 kl. 18.59.53.png
    48.5 KB · Views: 249
  • Like
Likes   Reactions: Delta2
Physics news on Phys.org
This problem looks like it is setup to cause calculation pain in the brain ?:).

Using wolfram I checked your answers for the divergence and the curl and I found them to be correct.

Cant find an easy way to check the curve integral. That calculation is really a pain in the brain...
 
  • Like
Likes   Reactions: Karl Karlsson

Similar threads

  • · Replies 4 ·
Replies
4
Views
7K
Replies
12
Views
3K
Replies
6
Views
3K
  • · Replies 3 ·
Replies
3
Views
1K
  • · Replies 3 ·
Replies
3
Views
3K
Replies
7
Views
3K
  • · Replies 5 ·
Replies
5
Views
2K
  • · Replies 2 ·
Replies
2
Views
1K
Replies
5
Views
2K
  • · Replies 8 ·
Replies
8
Views
7K