Calculating Nominal strain at which Necking Occurs

  • Thread starter Thread starter 50Cent
  • Start date Start date
  • Tags Tags
    Strain
Click For Summary
SUMMARY

The discussion focuses on calculating the nominal strain at which necking occurs in two wires with different gauge lengths, specifically 100mm and 200mm. The 100mm wire extends by 15mm, while the 200mm wire extends by 25mm. It is established that necking begins when the true strain equals the work-hardening exponent, and the ultimate tensile strength is consistent across both wires due to identical material and cross-section. The relationship between gauge length and percent elongation is also highlighted, indicating that as gauge length increases, percent elongation decreases.

PREREQUISITES
  • Understanding of true stress and true strain concepts
  • Familiarity with work-hardening exponent in material science
  • Knowledge of tensile testing and its significance in material properties
  • Basic grasp of stress-strain curves and their interpretation
NEXT STEPS
  • Research the calculation of true stress and true strain in tensile testing
  • Explore the concept of work-hardening and its effects on material behavior
  • Study the relationship between gauge length and elongation in tensile tests
  • Learn about the significance of ultimate tensile strength in material failure analysis
USEFUL FOR

Students in materials science, mechanical engineers, and professionals involved in tensile testing and material characterization will benefit from this discussion.

50Cent
Messages
33
Reaction score
0

Homework Statement


Given two wires of gauge length 100mm and 200mm
They are loaded to fracture in tension
The 100mm sample extends by 15mm
The 200mm sample extends by 25mm.

I need to use this information to calculate the nominal strain at which necking commences in the wires

Homework Equations


These are the relavent equations i can find in my notes relating to necking, stress/strain, true stress/strain
f42u0j.jpg


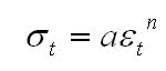
we are also told, the true stress/strain curve generally represented by,
fo1xmd.jpg


where n is the work-hardening exponent

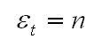
"necking" in a sample started when the value of the true strain is equal to the work hardening exponent, i.e.,
2cxvrwm.jpg



The Attempt at a Solution


Im not so sure where to start with this as there are no forces given or areas. I assume we have to use the two sets of data to equated these terms and cancel them out.
 
Physics news on Phys.org
50Cent said:
Im not so sure where to start with this as there are no forces given or areas. I assume we have to use the two sets of data to equated these terms and cancel them out.
Assuming that the wires are the same material and have the same cross-section, a starting point would be to realize that the ultimate tensile strength, which coincides with uniform elongation, when/where necking starts is the same between the wires.

https://www.admet.com/effect-specimen-geometry-tensile-testing-results/

Note: As the gauge length increases, the percent elongation decreases.

And, after fracture, one measures the resulting 'total' elongation.
 

Similar threads

  • · Replies 3 ·
Replies
3
Views
4K
  • · Replies 1 ·
Replies
1
Views
2K
  • · Replies 5 ·
Replies
5
Views
17K
  • · Replies 7 ·
Replies
7
Views
10K
  • · Replies 2 ·
Replies
2
Views
30K
  • · Replies 2 ·
Replies
2
Views
3K
Replies
13
Views
23K
  • · Replies 3 ·
Replies
3
Views
2K
  • · Replies 2 ·
Replies
2
Views
2K
  • · Replies 5 ·
Replies
5
Views
2K