Calculating the flux through the spherical surfaces at certain radius

Click For Summary

Discussion Overview

The discussion revolves around calculating the electric flux through spherical surfaces at specified radii, particularly focusing on the charge enclosed within those surfaces. Participants explore the implications of given values and the interpretation of the problem statement, including the assumptions about the center of the spheres and the units of flux.

Discussion Character

  • Exploratory
  • Technical explanation
  • Debate/contested
  • Mathematical reasoning

Main Points Raised

  • Some participants express confusion over the accuracy of results derived from limited significant figures, questioning the validity of achieving high precision from low precision inputs.
  • One participant suggests that the total charge enclosed at radius r=1 is -3 µC, based on the position of the charge relative to the sphere.
  • Another participant interprets the problem as involving spheres centered at the origin, asserting that the enclosed charge is zero for r=1.
  • There is a discussion about the units of flux, with some participants noting that the SI unit for electric flux differs from the units mentioned in the problem.
  • Participants debate the relevance of vectors and their lengths in the context of calculating flux, with some seeking clarification on the necessity of certain calculations.
  • A later reply indicates that a unit vector is involved in the calculations, but there is uncertainty about its application to the flux problem.
  • One participant expresses appreciation for the clarity of an alternative explanation compared to the initial post.

Areas of Agreement / Disagreement

Participants do not reach a consensus on the interpretation of the problem or the calculations involved. Multiple competing views remain regarding the charge enclosed and the appropriate approach to calculating the flux.

Contextual Notes

There are unresolved assumptions about the problem statement, particularly regarding the position of charges and the definition of the spherical surfaces. The discussion also highlights potential confusion over the application of mathematical concepts and units.

falyusuf
Messages
35
Reaction score
3
Homework Statement
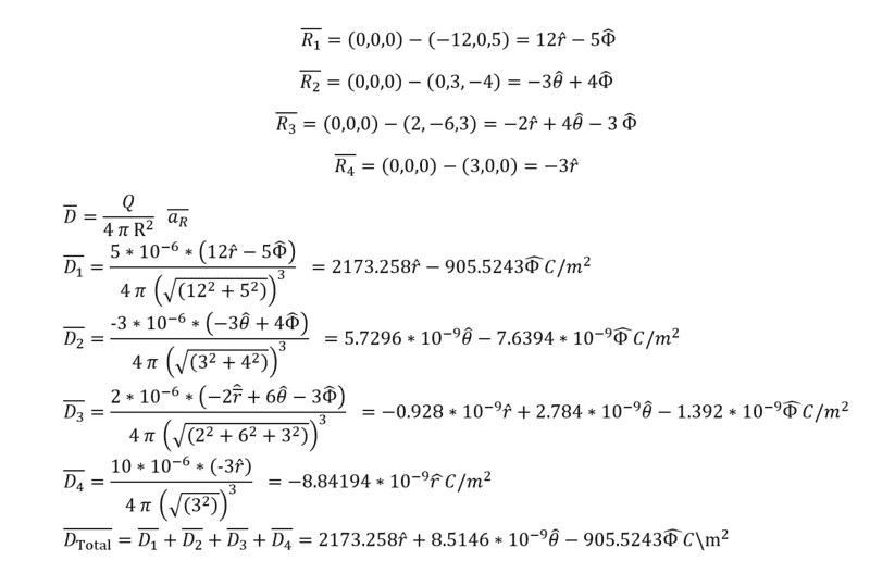
Point charges 5 uC, -3 uC, 2 uC and 10 uC are located at (-12, 0,5). (0, 3,-4),(2, -6, 3) and (3, 0, 0), respectively. Calculate the flux through the spherical surfaces at:
i) r= 1
ii) r= 10
iii) r=15

* u = 10^-6 *
Relevant Equations
Attached below.
Relevant Equation:
1637442267037.png

My attempt:
1637444699332.png

1637444677296.png

Could someone please confirm my answer?
 

Attachments

  • 1637444649520.png
    1637444649520.png
    20.4 KB · Views: 181
Physics news on Phys.org
You can't magically greate 10 digit accuracy results from 1 digit givens !

What is ##Q_{enc}## for ##r= 1## ?

##\ ##
 
BvU said:
You can't magically greate 10 digit accuracy results from 1 digit givens !

What is ##Q_{enc}## for ##r= 1## ?

##\ ##
Yes the answers I got were not reasonable and tried to figure out my mistakes but I couldn't.

I think it's -3 uC as r in the point (0, 3,-4) is 0, which is less than r=1.
so, the total charge enclosed is -3 uC.
 
I must asssume you have correctly given the problem statement
Calculate the flux through the spherical surfaces at:
i) r= 1
etc. And my interpretation is that such spheres are centered at the origin. So that the enclosed charge is zero for ##r=1##.
And that you are making a fairly simple exercise quite complicated unnecessarily.

Like in the other problem: what are the units for flux in your textbook ?

##\ ##
 
BvU said:
Like in the other problem: what are the units for flux in your textbook ?
It's Coulomb.

1637580341128-png.png
 
BvU said:
And my interpretation is that such spheres are centered at the origin. So that the enclosed charge is zero for r=1.
Sorry, I didn't get it. Could you explain further?
 
falyusuf said:
It's Coulomb.

View attachment 292834
Confusing (for me, at least). SI unit for electric flux is different.

falyusuf said:
Sorry, I didn't get it. Could you explain further?
The exercise asks for the flux through a spherical shell with radius 1 around the origin (then 10, then 15).

I don't understand what you do with your ##\overline{R_1}## etc.

* u = 10^-6 *
There is a ##\mu## under the 'insert symbol' button:
1637581967289.png


But (much better): with a little ##\LaTeX## you can do all kinds of math. ##\mu## becomes ##\mu##

There is a guide button at lower left:

1637582094065.png


##\ ##
 
BvU said:
I don't understand what you do with your R1― etc.
I assume that R1 is the vector between point 1 and the origin and found it by
1637583076411.png
 
What would you need that vector for ?

##\ ##
 
  • #10
BvU said:
What would you need that vector for ?

##\ ##
Get its length and substitute it in this formula:
1637584144098.png
 
  • #11
1637586213881.png

Seems to me ##\overline {a_R}## is a unit vector. Right ?

This formula calculates ##\overline D## at the origin. Not what you want. The exercise asks for a flux (in your case apparently an electric displacement flux).

##\ ##
 
  • #12
BvU said:
Seems to me aR― is a unit vector. Right ?
BvU said:
Seems to me aR― is a unit vector. Right ?
Yes. I think about it more and find that it'll be easier to get r from the given points using this formula:
1637589969545.png

and then simply;
1637595565755.png

Right?
 
  • #13
Makes much more sense to me than post #1 !
And no hassle with 10-digit numbers either :wink:

##\ ##
 
  • Like
Likes   Reactions: falyusuf
  • #14
BvU said:
Makes much more sense to me than post #1 !
And no hassle with 10-digit numbers either :wink:

##\ ##
Thank you so much. Appreciate your help
 
  • Like
Likes   Reactions: BvU

Similar threads

  • · Replies 5 ·
Replies
5
Views
2K
  • · Replies 1 ·
Replies
1
Views
1K
  • · Replies 9 ·
Replies
9
Views
2K
  • · Replies 6 ·
Replies
6
Views
2K
  • · Replies 4 ·
Replies
4
Views
2K
  • · Replies 10 ·
Replies
10
Views
2K
  • · Replies 2 ·
Replies
2
Views
1K
  • · Replies 3 ·
Replies
3
Views
4K
  • · Replies 6 ·
Replies
6
Views
2K
Replies
7
Views
2K