Calculating the Forces on a Charge

  • Thread starter Thread starter GodlessStar
  • Start date Start date
Click For Summary

Homework Help Overview

The discussion revolves around calculating the forces on a charge located in a three-dimensional Cartesian coordinate system, specifically addressing the electric field generated by charged objects. Participants are examining the setup and equations related to the problem, which involves understanding the contributions of electric fields from different charge distributions.

Discussion Character

  • Exploratory, Assumption checking, Problem interpretation

Approaches and Questions Raised

  • Participants are questioning the accuracy of the original poster's algebra and the clarity of their expressions. There are discussions about the correct placement of the charge in relation to the coordinate axes and the need for clarity in the equations presented. Some participants suggest breaking down the algebra into simpler components and addressing potential mistakes in the expressions for electric fields.

Discussion Status

The discussion is ongoing, with participants providing feedback on the original poster's attempts and highlighting specific areas of confusion or error. There is a focus on clarifying the components of the electric field and ensuring that all relevant aspects of the problem are considered. Multiple interpretations of the setup and equations are being explored, indicating a productive dialogue.

Contextual Notes

There are references to missing information, such as the results of a previous exercise, and the need for clearer definitions of variables used in the equations. Participants are also noting the importance of distinguishing between different components of the electric field and ensuring that all relevant factors are included in the calculations.

GodlessStar
Messages
1
Reaction score
0
Homework Statement
A charge +q is located on the x-axis at a distance h from the xy-plane. There are two uniformly charged bars on the plane as shown in the figure. Calculate the force on the charge q. (Use the results from Ex 2.2)
Relevant Equations
Eqn. 2.2 is located down below.
1742796963858.png

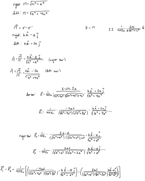
Here is my attempt. Am I doing it wrong? I am worried I messed up the algebra of it.
1742797046689.png
 
Physics news on Phys.org
It's difficult to read what you've written. Also, it would help if we knew what were the results of exercise 2.2.
 
GodlessStar said:
Homework Statement: A charge +q is located on the x-axis at a distance h from the xy-plane.
That wouldn't make sense. To match the diagram, the Homework Statement should say "A charge +q is located on the z-axis..."

GodlessStar said:
Relevant Equations: Eqn. 2.2 is located down below.
There is no equation 2.2 shown. There is an expression labelled 2.2 with no explanation of its meaning.

GodlessStar said:
Here is my attempt. Am I doing it wrong? I am worried I messed up the algebra of it. View attachment 358900
Not checked for the same reasons noted by @PeroK in Post #2. But a few comments...

You appear to be using the same symbol for different things, e.g. ##\hat M## (or maybe it's ##\hat \mu##) is used for two different unit vectors. You could use subscripts 1 and 2, or L and R.

The total field is ##\vec {E_1} + \vec {E_2}##, not ##\vec {E_1} - \vec {E_2}##.

Don't forget you are asked for the total force, not the total field.
 
There are four mistakes.

The first one is the result from Example 2.2. The expression for the electric field a distance ## z ## above the midpoint of a bar of length ## L ## that carries a uniform line charge density ## \lambda ## should be $$ \frac{1}{4\pi\varepsilon_0}\frac{2\lambda L}{z\sqrt{4z^2+L^2}}\hat z $$.

The second one is the length of the right bar in the expression for the electric field produced by the right bar. The length is ## 2a ##.

The third one is the expression for ## \vec E_{total} ## in the final equation. It should be $$ \vec E_1+\vec E_2 $$, as it is said in the post #3.

The fourth one is the expression for the unit vector which represents the direction of the electric field produced by the left bar in the final equation. It should be $$ \frac{h\hat k+2a\hat j}{\sqrt{h^2+4a^2}} $$.

At the end the expression for the electric field should be multiplied by the charge ## +q ## to get what the force is, as it is said in the post #3.
 
Gavran said:
There are four mistakes.

The first one is the result from Example 2.2. The expression for the electric field a distance ## z ## above the midpoint of a bar of length ## L ## that carries a uniform line charge density ## \lambda ## should be $$ \frac{1}{4\pi\varepsilon_0}\frac{2\lambda L}{z\sqrt{4z^2+L^2}}\hat z $$.
What happened to the y-component of the field? The lines of charge are at different distances from the x-axis.
 
kuruman said:
What happened to the y-component of the field? The lines of charge are at different distances from the x-axis.
The expression is just a hint and the midpoint of the bar is the origin of a three dimensional Cartesian coordinate system where the bar is placed in the xy plane.

The problem solution includes y-component and z-component of the field by using the vectors $$ \frac{h\hat k+2a\hat j}{\sqrt{h^2+4a^2}} $$ and $$ \frac{h\hat k-a\hat j}{\sqrt{h^2+a^2}} $$.
 
GodlessStar said:
I am worried I messed up the algebra of it.
Lines of charge.png
Then break up the algebra into smaller pieces with fewer symbols. Look at the diagram on the right. You have the superposition of the field from the right ##\mathbf E_R## and from the left ##\mathbf E_L.## For the field from the right, $$\mathbf E_R=E_R\sin(\theta_R)~(-\mathbf {\hat y})+E_R\cos(\theta_R)~(+\mathbf {\hat z})$$ where $$\sin(\theta_R)=\frac{a}{\sqrt{a^2+h^2}}~;~~~\cos(\theta_R)=\frac{h}{\sqrt{a^2+h^2}}.$$You get a similar expression for the field from the left. Add the two vectors together, then replace the trig functions and field magnitudes at the very end.

(Edited to fix mislabeled angles.)
 
Last edited:
  • Like
Likes   Reactions: PeroK
Gavran said:
The expression is just a hint and the midpoint of the bar is the origin of a three dimensional Cartesian coordinate system where the bar is placed in the xy plane.

The problem solution includes y-component and z-component of the field by using the vectors $$ \frac{h\hat k+2a\hat j}{\sqrt{h^2+4a^2}} $$ and $$ \frac{h\hat k-a\hat j}{\sqrt{h^2+a^2}} $$.
OK. In your list of OP's mistakes in post #4, when you said that the electric field "should be" it was not clear to me that you were referring to the general case and not specifically to OP's answer.
 

Similar threads

  • · Replies 1 ·
Replies
1
Views
979
  • · Replies 10 ·
Replies
10
Views
1K
  • · Replies 2 ·
Replies
2
Views
1K
Replies
4
Views
2K
  • · Replies 13 ·
Replies
13
Views
3K
Replies
11
Views
1K
  • · Replies 10 ·
Replies
10
Views
2K
Replies
12
Views
3K
  • · Replies 3 ·
Replies
3
Views
1K
Replies
1
Views
1K