Calculating the integration constants

Click For Summary

Discussion Overview

The discussion revolves around the determination of integration constants C1 and C2 in the context of a deflection equation w(x) related to beam theory. Participants explore the conditions necessary for solving these constants, the relationships between various equations, and the implications of boundary conditions. The discussion includes elements of mathematical reasoning and technical explanation.

Discussion Character

  • Homework-related
  • Mathematical reasoning
  • Technical explanation

Main Points Raised

  • One participant questions the possibility of solving for C1 and C2 without additional information, suggesting that a shear force or diagram is typically required.
  • Another participant expresses confusion regarding the steps to derive the deflection equation, particularly noting a negative sign in the equation.
  • There is a discussion about deriving constants from boundary conditions, with one participant stating that the first boundary condition allows for the determination of c4 easily.
  • Participants discuss the relationship between the deflection equation w(x) and other derived equations, suggesting that integration has already been performed to arrive at w(x).
  • One participant mentions substituting M(2) = -5 to find C2 and seeks validation on this approach.
  • Clarifications are made regarding the notation used in the equations, specifically concerning the variables φ and M.
  • Another participant emphasizes the importance of deriving other relations from w(x) rather than starting from shear V(x).

Areas of Agreement / Disagreement

Participants express varying levels of understanding and approaches to the problem, with no clear consensus on the best method to solve for the constants or the interpretation of the equations involved. Some participants agree on the need to derive from w(x), while others remain uncertain about the connections between the variables.

Contextual Notes

Participants highlight missing information, such as shear forces or diagrams, which may affect the ability to solve for the constants. There are also unresolved questions regarding the definitions and relationships between the variables used in the equations.

Waffle24
Messages
18
Reaction score
3
Homework Statement
Is it even possible to solve C1 and C2?

I feel like I'm missing some information. (possible the teacher made a mistake)

Normally, a shear force or a diagram is given, but in this case, it is not known or given.

Could anyone guide me?
Relevant Equations
N/A
1000190812.jpg
 
Physics news on Phys.org
Waffle24 said:
Homework Statement: Is it even possible to solve C1 and C2?

I feel like I'm missing some information. (possible the teacher made a mistake)

Normally, a shear force or a diagram is given, but in this case, it is not known or given.

Could anyone guide me?
Relevant Equations: N/A

View attachment 358613
I'm not sure, but lets see if you can satisfy all the conditions. ## w(x)## is given as a deflection. It's usually a distributed load in the texts I've seen but...whatever.

Can you show your work?
 
erobz said:
I'm not sure, but lets see if you can satisfy all the conditions. ## w(x)## is given as a deflection. It's usually a distributed load in the texts I've seen but...whatever.

Can you show your work?
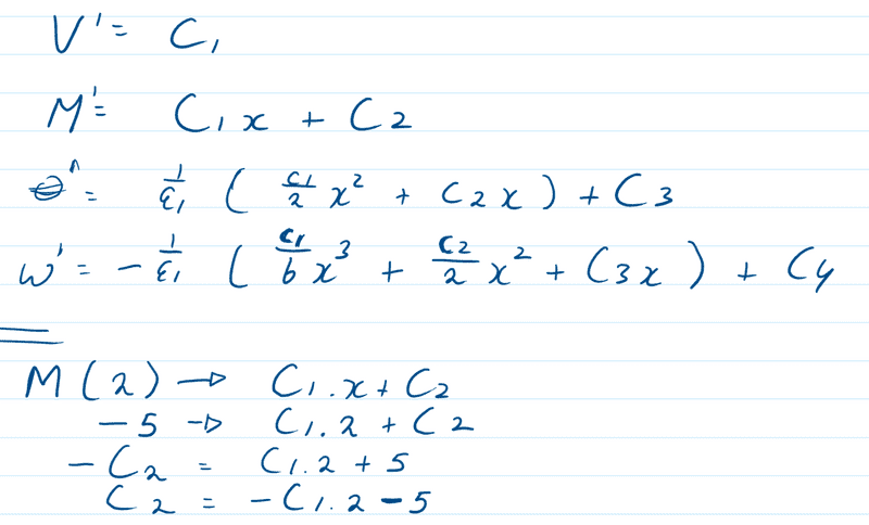
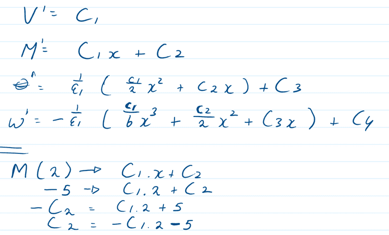
I'm not quite sure what you're referring with "if I can satisfy all the conditions". Anyway, the steps to get to the deflection equation is also a little bit confusing to me, because there is a '-' sign before 1/EI.

I've tried getting the C2 by substituting the M(2) = -5 in the M equation. Is this the right approach?


1000000097.png
 
I don't see how this is connected to integration, unless somehow the integration has already been done to arrive at the equation for w(x).
From the first boundary condition, w(0) = 0, it's simple to find ##c_4##.
From the other boundary condition, w(2) = 0, you get ##\frac{-1}{EI}(4/3 \cdot c_1 + 2 \cdot c_2 + 2 \cdot c_3) = 0##

Your screen shot doesn't provide any information about ##\phi## or M or V, so perhaps they enter into the calculations for ##c_1, c_2,## and ##c_3##.

In your work, what is ##\epsilon_1##? The equation shown in the screen shows E and I, but not ##\epsilon##. Also, your work shows ##\theta##. Did you mean ##\phi##?
 
Waffle24 said:
I'm not quite sure what you're referring with "if I can satisfy all the conditions". Anyway, the steps to get to the deflection equation is also a little bit confusing to me, because there is a '-' sign before 1/EI.

I've tried getting the C2 by substituting the M(2) = -5 in the M equation. Is this the right approach?


View attachment 358625
Yeah, that's the right idea. You have 4 conditions and 4 constants to determine.

But instead of working "up" from the shear ##V(x)##, work "down" from the equation for deflection given ##w(x)##. Derive everything from the equation given (which has a negative sign out front as well as the constant ##EI##).

we have ##w(x)##, derive the others from it.

## \phi(x) = EI \frac{dw}{dx} ##

## M(x) = EI \frac{d^2w}{dx^2} ##
 
Last edited:
Mark44 said:
I don't see how this is connected to integration, unless somehow the integration has already been done to arrive at the equation for w(x).
The integration has been done, we are supposed to derive the other relations from ##w(x)##.
Mark44 said:
From the first boundary condition, w(0) = 0, it's simple to find ##c_4##.
From the other boundary condition, w(2) = 0, you get ##\frac{-1}{EI}(4/3 \cdot c_1 + 2 \cdot c_2 + 2 \cdot c_3) = 0##

Your screen shot doesn't provide any information about ##\phi## or M or V, so perhaps they enter into the calculations for ##c_1, c_2,## and ##c_3##.

In your work, what is ##\epsilon_1##? The equation shown in the screen shows E and I, but not ##\epsilon##. Also, your work shows ##\theta##. Did you mean ##\phi##?
It's an "##EI##"

And the ##\phi## is ##EI\frac{dw}{dx}##.
 
Last edited:
erobz said:
Yeah, that's the right idea. You have 4 conditions and 4 constants to determine.

But instead of working "up" from the shear ##V(x)##, work "down" from the equation for deflection given ##w(x)##. Derive everything from the equation given (which has a negative sign out front as well as the constant ##EI##).

we have ##w(x)##, derive the others from it.

## \phi(x) = EI \frac{dw}{dx} ##

## M(x) = EI \frac{d^2w}{dx^2} ##
Ah that explains it! Thank you! :biggrin:
 
  • Like
Likes   Reactions: erobz

Similar threads

  • · Replies 3 ·
Replies
3
Views
2K
  • · Replies 14 ·
Replies
14
Views
3K
  • · Replies 0 ·
Replies
0
Views
324
Replies
8
Views
2K
  • · Replies 2 ·
Replies
2
Views
2K
  • · Replies 4 ·
Replies
4
Views
2K
  • · Replies 7 ·
Replies
7
Views
3K
  • · Replies 1 ·
Replies
1
Views
2K
  • · Replies 23 ·
Replies
23
Views
4K
  • · Replies 20 ·
Replies
20
Views
7K