kingkong23
- 17
- 2
Homework Statement
Consider helium as ideal gas with a Maxwell distribution of speeds.
(a) Investigate the maximal value Fmax at the peak of the Maxwell distribution F(v):
Calculate this value for He at T = 300 K and at 600 K, and for N2 at 300 K
b) For He at 300 K, obtain speeds v1 and v2 for which F(v) = Fmax/2, and then calculate the fraction of particles with speeds v between v1 and v2[/B]
Homework Equations
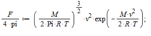
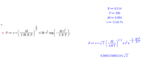
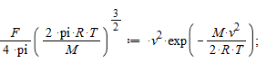
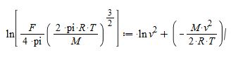
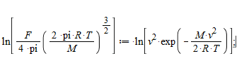
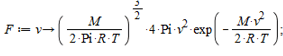
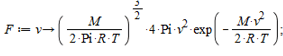
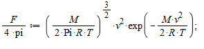
F=4*(M/(2*Pi*R*T))^(3/2)*Pi*v^2*exp(-M*v^2/(2*R*T))
The Attempt at a Solution
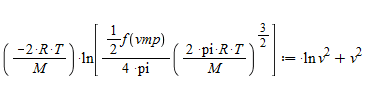
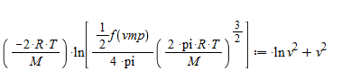
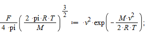
Okay so I got A) already, however for B I am stuck. For B I found the Fmax (using the equation above and plugging in most probable velocity as V, i am on the right track?) and then I divided by 2. So now I have the value (fmax/2) and I tried rearranging this equation to find V1. Am I on the right track because when I tried isolating for V^2 I ended up with v^2 ln v^2 and I don't can seem to get it into more simpler form.
I apologize if I posted this in wrong section, this is my first time posting here and I have no idea where this belongs. This question was from the subject:physical chemistry
Last edited:
