Can someone double check my solution to this Laplace Transform problem?

Click For Summary

Homework Help Overview

The discussion revolves around a Laplace Transform problem, with participants reviewing a solution provided by the original poster. There is confusion regarding specific notations and the clarity of the problem statement.

Discussion Character

  • Mixed

Approaches and Questions Raised

  • Participants express confusion about the notation used, particularly regarding "u2(t)" and "t-2". There are suggestions to work the problem backwards as a verification method. Some participants question the clarity of the original problem and its presentation.

Discussion Status

The discussion is ongoing, with participants seeking clarification on the problem's details and notation. Some guidance has been offered regarding the use of LaTeX for better readability, but there is no consensus on the original question or its solution.

Contextual Notes

There are indications of missing information regarding the original homework question and the specific definitions of the terms used, which are under scrutiny.

EaglesFan7
Messages
2
Reaction score
0
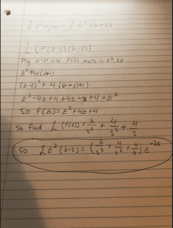
Homework Statement
Who can check my work for this problem? I tried to use an online laplace calculator to verify my answer but it didn't support finding laplace examples with heavyside
Relevant Equations
Laplace of h(t-c)*f(t-c)=e^(-cs)*F(s)
My solution is in the file shown here
 

Attachments

  • laplaceexample.PNG
    laplaceexample.PNG
    117 KB · Views: 354
Physics news on Phys.org
Can you type this in with latex in the future? It’s a good skill to know and makes it a lot easier to read than the sepia photo provided.

Is there any way to work the problem backwards to get your original results? That would be a good check.
 
I checked and little confused about that. If someone checked this homework problem, then also let me know by mentioning me on that thread.
 
Here's one that's somewhat more readable. (I should have cropped it a bit.)
laplaceexample1.png
 
One of the problems with asking for free help is that we (OK, I) have a limited amount of patience. I do know about Laplace transforms, but I find your question really really confusing. What's u2(t)? Where did the "t-2" come from? What really was the homework question?
People often say "there is no such thing as a bad question". They are wrong. I am 99.99% sure I know the answer, but I don't want to solve the riddle of what was the question.
Maybe someone else will take up the challenge, even though the first 4 people aren't giving you the answer you seek.
 
  • Like
Likes   Reactions: SammyS and berkeman
DaveE said:
What's u2(t)? Where did the "t-2" come from?
I ran across this notation awhile back, and it was unfamiliar to me at the time as well. It probably didn't help that the OP translated it into ##h-2##, whatever that's supposed to mean. Anyway, some people denote ##u(t-c)##, where ##u(t)## is the unit step function, by ##u_c(t)##.
 

Similar threads

  • · Replies 1 ·
Replies
1
Views
1K
  • · Replies 2 ·
Replies
2
Views
2K
  • · Replies 10 ·
Replies
10
Views
3K
  • · Replies 4 ·
Replies
4
Views
3K
Replies
2
Views
2K
Replies
2
Views
2K
  • · Replies 3 ·
Replies
3
Views
3K
  • · Replies 8 ·
Replies
8
Views
3K
  • · Replies 2 ·
Replies
2
Views
2K
  • · Replies 3 ·
Replies
3
Views
2K