Can someone show me how this is solved algebraically

  • Thread starter Thread starter chris_0101
  • Start date Start date
Click For Summary

Homework Help Overview

The discussion revolves around demonstrating how one equation can be derived from another algebraically, specifically involving manipulations of fractions and square roots in the context of algebraic expressions.

Discussion Character

  • Exploratory, Mathematical reasoning

Approaches and Questions Raised

  • Participants discuss various methods for manipulating the equations, including rationalizing denominators and finding common divisors. There are questions about specific phrases used in the problem, such as "multiply out the numerator," and attempts to clarify what this entails.

Discussion Status

The discussion is ongoing, with participants seeking clarification on algebraic manipulations and sharing their interpretations of the problem. Some have offered guidance on potential steps, while others are questioning the terminology and methods suggested.

Contextual Notes

There appears to be confusion regarding the specific algebraic steps needed to transition from one equation to another, with participants expressing uncertainty about the terminology used in the problem statement.

chris_0101
Messages
59
Reaction score
0

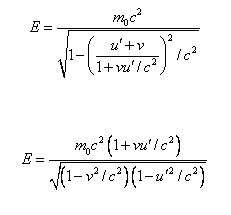
Homework Statement


I need to show how the first equation gives the second equation algebraically
img1.PNG



Homework Equations



I've tried multiple methods such as rationalizing the denominator with no avail.

The Attempt at a Solution



Any help will be greatly appreciated,

Thanks.
 
Physics news on Phys.org
chris_0101 said:

Homework Statement


I need to show how the first equation gives the second equation algebraically
View attachment 51672


Homework Equations



I've tried multiple methods such as rationalizing the denominator with no avail.

The Attempt at a Solution



Any help will be greatly appreciated,

Thanks.

Multiply out the numerator of that mess over c^2. Then find a quick common divisor. Then use the rules :

[itex]\sqrt{\frac{a}{b}} = \frac{\sqrt{a}}{\sqrt{b}}[/itex]

and

[itex]\frac{\frac{a}{b}}{\frac{c}{d}} = \frac{ad}{bc}[/itex]
 
I'm not sure what you mean by "multiply out the numerator of that mess over c^2"?
 
chris_0101 said:
I'm not sure what you mean by "multiply out the numerator of that mess over c^2"?

The quantity [itex](\frac{u'+v}{1+vu'/c^2})^2[/itex]
 
yea, but how does one multiply out the numerator?
do you mean like this:
(a/b)/c = (a/b)*(1/c)
 
chris_0101 said:
yea, but how does one multiply out the numerator?
do you mean like this:
(a/b)/c = (a/b)*(1/c)

...

[itex](\frac{u'+v}{1+vu'/c^2})^2 = (\frac{u'+v}{1+vu'/c^2})(\frac{u'+v}{1+vu'/c^2})[/itex]

Now some simple bedmas and you're done...
 
This is what I got:

(u'^2 + 2u'v + v^2)/((u'^2 v^2)/c^4) + (2((u'v)/c^2) +1

Is this right?
 

Similar threads

  • · Replies 19 ·
Replies
19
Views
2K
  • · Replies 8 ·
Replies
8
Views
2K
  • · Replies 2 ·
Replies
2
Views
2K
  • · Replies 9 ·
Replies
9
Views
1K
  • · Replies 2 ·
Replies
2
Views
1K
  • · Replies 6 ·
Replies
6
Views
2K
  • · Replies 6 ·
Replies
6
Views
2K
  • · Replies 9 ·
Replies
9
Views
2K
  • · Replies 1 ·
Replies
1
Views
2K
  • · Replies 4 ·
Replies
4
Views
2K