Don't understand this limit change in a ratio test

Click For Summary

Homework Help Overview

The discussion revolves around understanding a limit change in the context of the ratio test applied to power series. The original poster expresses confusion regarding the transformation of terms in the limit from one step to another, specifically questioning the manipulation of the denominator.

Discussion Character

  • Conceptual clarification, Mathematical reasoning

Approaches and Questions Raised

  • The original poster attempts to understand the reasoning behind the limit transformation, particularly why the denominator's form changes. Some participants clarify that the transformation involves dividing by n² rather than converting n's into reciprocals.

Discussion Status

The discussion has seen some productive exchanges, with participants providing insights into the algebraic manipulation involved. While the original poster has expressed gratitude for the help, there remains a question about the immediate recognition of the division by n², indicating ongoing exploration of the topic.

Contextual Notes

Participants are working within the constraints of understanding power series and limits, with a focus on the algebraic steps involved in the ratio test. There is an acknowledgment of the complexity of the expressions involved, particularly regarding their degrees in n.

saybrook1
Messages
101
Reaction score
4

Homework Statement


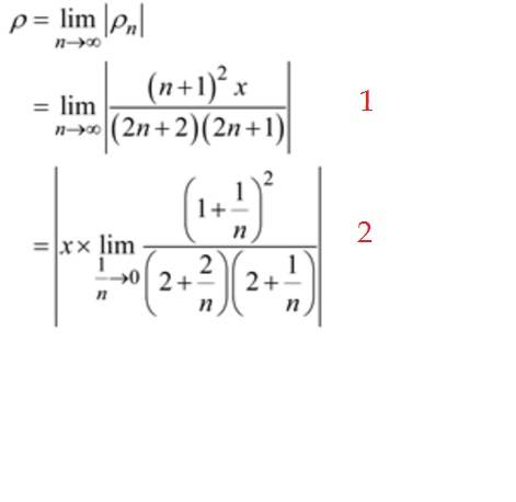
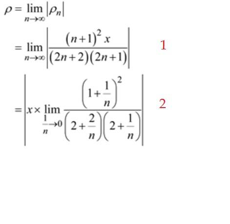
I would like to understand how the limit was changed in the ratio test from step 1 to step 2 in the image that I've posted. I thought that the denominator would look like (2/n+2)(2/n+1) in step 2 since it looks like we are just turning the n's into reciprocals. Any help here would be greatly appreciated. Thank you very much as always.

Homework Equations


Power series, limits, reciprocals.

The Attempt at a Solution


I've tried to figure out why the argument in the second set of parentheses in the denominator becomes (2+1/n) instead of (2/n+1) once the limit is changed from infinity to zero in between steps 1 and 2. Just with brute force algebra I couldn't figure out how they went from step 1 to 2.
 

Attachments

  • reciprocal limit change.jpg
    reciprocal limit change.jpg
    9.8 KB · Views: 485
Physics news on Phys.org
They're not turning the n's into reciprocals. They're dividing both the numerator and denominator by ##n^2##
 
Mastermind01 said:
They're not turning the n's into reciprocals. They're dividing both the numerator and denominator by ##n^2##
Okay, awesome. Thank you very much!
 
saybrook1 said:
Okay, awesome. Thank you very much!

Glad to be of help. I think you should mark this as solved then.
 
Mastermind01 said:
Glad to be of help. I think you should mark this as solved then.
I marked this as solved, but can I ask you how you knew that they were dividing the numerator and denominator by n^2 right away? I think I would have to expand everything to see that. Thanks again.
 
saybrook1 said:
I marked this as solved, but can I ask you how you knew that they were dividing the numerator and denominator by n^2 right away? I think I would have to expand everything to see that. Thanks again.
Because the highest degree expression (in n) in the numerator is n2 plus lower-degree terms, and the denominator is also 2nd-degree in n.
 
  • Like
Likes   Reactions: Mastermind01
Mark44 said:
Because the highest degree expression (in n) in the numerator is n2 plus lower-degree terms, and the denominator is also 2nd-degree in n.
Okay, great. Thanks!
 

Similar threads

  • · Replies 7 ·
Replies
7
Views
2K
  • · Replies 2 ·
Replies
2
Views
2K
  • · Replies 4 ·
Replies
4
Views
2K
  • · Replies 1 ·
Replies
1
Views
2K
  • · Replies 5 ·
Replies
5
Views
1K
Replies
23
Views
3K
  • · Replies 2 ·
Replies
2
Views
2K
  • · Replies 6 ·
Replies
6
Views
4K
  • · Replies 2 ·
Replies
2
Views
2K
  • · Replies 4 ·
Replies
4
Views
2K