Can the Sum of Second Derivatives of Charges be Claimed in a CLC Circuit?

  • Thread starter Thread starter ForumGuy
  • Start date Start date
  • Tags Tags
    Circuit Resonance
Click For Summary
SUMMARY

The discussion centers on the application of Kirchhoff's Loop Law in analyzing a CLC circuit, specifically regarding the sum of second derivatives of charge. The user questions whether the second derivatives of charges can be added directly and if the relationship q_1(t)/C_1 = q_2(t)/C_2 holds true. The conversation emphasizes the importance of understanding the rules of derivatives, particularly in the context of voltage and charge in capacitors and inductors.

PREREQUISITES
  • Understanding of Kirchhoff's Loop Law
  • Familiarity with capacitor and inductor voltage equations
  • Knowledge of calculus, specifically derivatives
  • Basic concepts of electrical circuits, particularly CLC circuits
NEXT STEPS
  • Study the application of Kirchhoff's Loop Law in complex circuits
  • Learn about the behavior of capacitors and inductors in series and parallel configurations
  • Explore advanced calculus topics, focusing on higher-order derivatives
  • Investigate the characteristics of ideal wires in electrical circuits
USEFUL FOR

Electrical engineering students, circuit designers, and anyone interested in the mathematical analysis of electrical circuits.

ForumGuy
Messages
1
Reaction score
1
1. The problem statement, all variables and given/known data
Screen Shot 2018-03-28 at 4.21.07 PM.png

Homework Equations


Capacitor (C): v(t) = (1/c)*q(t)
Inductor (L): v(t) = L(d^2q(t)/dt^2)

The Attempt at a Solution


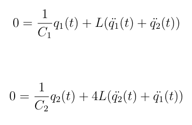
Using Kirchoff's Loop law, the sum of voltages around each loop must be 0. I think I can thus claim the following:
Screen Shot 2018-03-28 at 4.32.28 PM.png


But I'm not so sure I can add the two 2nd derivatives of the charges like that. IF, however, this is true, then can I also claim that q_1(t)/C_1 = q_2(t)/C_2, by subtracting the two equations (or just setting them equal to each other?).

I'm new to Physics Forums, though I've read a lot on here, so let me know if I'm violating any rules! Thanks in advance!
 

Attachments

  • Screen Shot 2018-03-28 at 4.21.07 PM.png
    Screen Shot 2018-03-28 at 4.21.07 PM.png
    13.3 KB · Views: 1,351
  • Screen Shot 2018-03-28 at 4.28.50 PM.png
    Screen Shot 2018-03-28 at 4.28.50 PM.png
    2.3 KB · Views: 580
  • Screen Shot 2018-03-28 at 4.31.48 PM.png
    Screen Shot 2018-03-28 at 4.31.48 PM.png
    3.2 KB · Views: 574
  • Screen Shot 2018-03-28 at 4.32.28 PM.png
    Screen Shot 2018-03-28 at 4.32.28 PM.png
    2.2 KB · Views: 797
  • Like
Likes   Reactions: Merlin3189
Physics news on Phys.org
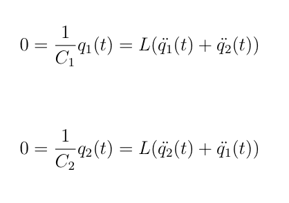
Think about the rules of derivatives. Would you say that ##\frac {d} {dt} {(f(t) + g(t))}## the same as ##\frac {d} {dt} {f(t)} + \frac {d} {dt} {g(t)}## ?
If so then I think you have your answer. How would you apply this to 2nd derivatives?

Also look at the "wire" between the inductor and the capacitor. For an ideal wire, how much voltage drop is there across that?
 

Similar threads

  • · Replies 6 ·
Replies
6
Views
3K
Replies
9
Views
3K
  • · Replies 13 ·
Replies
13
Views
2K
  • · Replies 30 ·
2
Replies
30
Views
3K
  • · Replies 8 ·
Replies
8
Views
3K
  • · Replies 11 ·
Replies
11
Views
3K
  • · Replies 6 ·
Replies
6
Views
2K
  • · Replies 3 ·
Replies
3
Views
1K
  • · Replies 14 ·
Replies
14
Views
3K
  • · Replies 3 ·
Replies
3
Views
2K