Can't understand ket notation for spin 1/2

Click For Summary

Homework Help Overview

The discussion revolves around the ket notation used in quantum mechanics, specifically for representing the spin states of particles, particularly spin 1/2 particles like electrons. Participants are exploring why there are four elements in each ket notation instead of just two, as one might expect from the binary nature of spin states.

Discussion Character

  • Conceptual clarification, Assumption checking

Approaches and Questions Raised

  • Participants question the representation of spin states in ket notation, particularly the inclusion of four elements. Some discuss the implications of spin values and the notation used in quantum mechanics literature, referencing specific examples from Griffiths' work.

Discussion Status

There is an ongoing exploration of the notation and its implications, with some participants expressing clarity after engaging with the material. However, the discussion remains open as different interpretations of the notation are being considered.

Contextual Notes

Participants note that the notation can vary between editions of textbooks, indicating potential confusion or differing conventions in representing quantum states.

pepediaz
Messages
49
Reaction score
5
Homework Statement
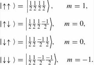
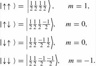
Each particle can have spin up or spin down, so there are four possibilities.
Relevant Equations
It's from Example 4.5, from Griffiths (Quantum Mechanics)
I can't why there are four elements in each ket instead of only two
2021-03-08 (1).png
 
  • Like
Likes   Reactions: vanhees71
Physics news on Phys.org
pepediaz said:
Homework Statement:: Each particle can have spin up or spin down, so there are four possibilities.
Relevant Equations:: It's from Example 4.5, from Griffiths (Quantum Mechanics)

I can't why there are four elements in each ket instead of only two View attachment 279407
The notation is that the first two 1/2 just indicated the spin of each particle. The last two entries give the z component of the spin, ##S_z## of each particle.
 
  • Like
Likes   Reactions: vanhees71 and pepediaz
With electrons it is understood that the spin is 1/2 and is often omitted for compactness. In that case instead of ##|\frac{1}{2},\frac{1}{2},s_{1z},s_{2z}\rangle## one can write ##|s_{1z},s_{2z}\rangle## where ##s_{1z},s_{2z}=\pm \frac{1}{2}## or use ##\uparrow\downarrow## as Griffiths does.

If the two spins, or more generally angular momenta, are greater than 1/2, one must be clear about what one means and write the full-blown ##|S_1,S_2,S_{1z},S_{2z}\rangle## to avoid confusion.
 
  • Like
Likes   Reactions: vanhees71, pepediaz and PeroK
Thanks! I see it now!
 
pepediaz said:
Thanks! I see it now!
In the later edition he abandons that notation, in fact. Instead, he has:
$$\uparrow \downarrow \ = \ |\frac 1 2 \frac 1 2 \rangle |\frac 1 2 -\frac 1 2 \rangle $$
 

Similar threads

  • · Replies 3 ·
Replies
3
Views
2K
Replies
8
Views
3K
  • · Replies 1 ·
Replies
1
Views
2K
Replies
4
Views
2K
  • · Replies 25 ·
Replies
25
Views
3K
  • · Replies 4 ·
Replies
4
Views
2K
Replies
9
Views
3K
  • · Replies 6 ·
Replies
6
Views
2K
Replies
17
Views
3K
  • · Replies 5 ·
Replies
5
Views
3K