Change of variables/total differential derivation

Click For Summary

Homework Help Overview

The discussion revolves around deriving a specific equation related to total differentials and change of variables in multivariable calculus. Participants are examining the transition from one equation to another, focusing on the manipulation of terms and the relationships between partial derivatives.

Discussion Character

  • Exploratory, Mathematical reasoning, Assumption checking

Approaches and Questions Raised

  • Participants discuss grouping and distributing terms in the equations, factoring out differentials, and comparing coefficients. There are questions about how to transition from one form of the equation to another, particularly regarding the increase in the number of terms and the removal of differentials.

Discussion Status

Some participants have provided insights into the manipulation of the equations, while others express confusion about the steps needed to achieve the desired form. There is an ongoing exploration of the relationships between the equations and the coefficients involved.

Contextual Notes

Participants note that the original problem is not a traditional homework question but rather an information sheet, which may influence the depth of the discussion and the expectations for clarity in the derivation process.

thomas49th
Messages
645
Reaction score
0

Homework Statement

http://gyazo.com/e7dc83f3f93d01391663d02bf92c0b26

Homework Equations



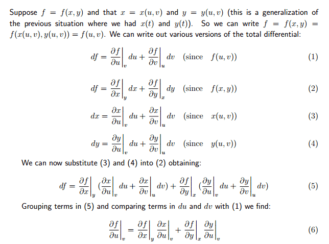
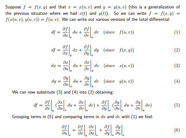
I am trying to derive equation 6 from 5 using 1, but I haven't got anywhere. This isn't a homework question, just an information sheet. Can someone show me the steps (no jumps please) on obtaining equation 6. After that, for practice I will attempt df/dv

Thanks
:)
 
Physics news on Phys.org
thomas49th said:

Homework Statement



attachment.php?attachmentid=45833&stc=1&d=1333420017.png

http://gyazo.com/e7dc83f3f93d01391663d02bf92c0b26

Homework Equations



I am trying to derive equation 6 from 5 using 1, but I haven't got anywhere. This isn't a homework question, just an information sheet. Can someone show me the steps (no jumps please) on obtaining equation 6. After that, for practice I will attempt df/dv

Thanks
:)
It's pretty basic.

Group the terms in (5):
First distribute [itex]\displaystyle \left.\frac{\partial f}{\partial x}\right|_y\text{ and }\left.\frac{\partial f}{\partial y}\right|_x\ .[/itex]θ

Then factor out du & dv .

[itex]\displaystyle df=\left(<br /> \left.\frac{\partial f}{\partial x}\right|_y \left.\frac{\partial x}{\partial u}\right|_v<br /> +\left.\frac{\partial f}{\partial y}\right|_x \left.\frac{\partial y}{\partial u}\right|_v<br /> \right)du +\left(<br /> \left.\frac{\partial f}{\partial x}\right|_y \left.\frac{\partial x}{\partial v}\right|_u<br /> +\left.\frac{\partial f}{\partial y}\right|_x \left.\frac{\partial y}{\partial v}\right|_u<br /> \right)dv[/itex]



 

Attachments

  • e7dc83f3f93d01391663d02bf92c0b26.png
    e7dc83f3f93d01391663d02bf92c0b26.png
    23 KB · Views: 1,257
SammyS said:
It's pretty basic.

Group the terms in (5):
First distribute [itex]\displaystyle \left.\frac{\partial f}{\partial x}\right|_y\text{ and }\left.\frac{\partial f}{\partial y}\right|_x\ .[/itex]θ

Then factor out du & dv .

[itex]\displaystyle df=\left(<br /> \left.\frac{\partial f}{\partial x}\right|_y \left.\frac{\partial x}{\partial u}\right|_v<br /> +\left.\frac{\partial f}{\partial y}\right|_x \left.\frac{\partial y}{\partial u}\right|_v<br /> \right)du +\left(<br /> \left.\frac{\partial f}{\partial x}\right|_y \left.\frac{\partial x}{\partial v}\right|_u<br /> +\left.\frac{\partial f}{\partial y}\right|_x \left.\frac{\partial y}{\partial v}\right|_u<br /> \right)dv[/itex]




I can easily get to the second equation
[itex]\displaystyle df=\left(<br /> \left.\frac{\partial f}{\partial x}\right|_y \left.\frac{\partial x}{\partial u}\right|_v<br /> +\left.\frac{\partial f}{\partial y}\right|_x \left.\frac{\partial y}{\partial u}\right|_v<br /> \right)du +\left(<br /> \left.\frac{\partial f}{\partial x}\right|_y \left.\frac{\partial x}{\partial v}\right|_u<br /> +\left.\frac{\partial f}{\partial y}\right|_x \left.\frac{\partial y}{\partial v}\right|_u<br /> \right)dv[/itex]

but how does that become equation 6? We've gone from 4 terms to 6 and remove dv and du

Thanks
 
thomas49th said:
I can easily get to the second equation
[itex]\displaystyle df=\left(<br /> \left.\frac{\partial f}{\partial x}\right|_y \left.\frac{\partial x}{\partial u}\right|_v<br /> +\left.\frac{\partial f}{\partial y}\right|_x \left.\frac{\partial y}{\partial u}\right|_v<br /> \right)du +\left(<br /> \left.\frac{\partial f}{\partial x}\right|_y \left.\frac{\partial x}{\partial v}\right|_u<br /> +\left.\frac{\partial f}{\partial y}\right|_x \left.\frac{\partial y}{\partial v}\right|_u<br /> \right)dv[/itex]

but how does that become equation 6? We've gone from 4 terms to 6 and remove dv and du

Thanks
All that equation 6 gives is the coefficient of du.

The coefficient of dv is similar.

Compare equation 1 with [itex]\displaystyle df=\left( <br /> \left.\frac{\partial f}{\partial x}\right|_y \left.\frac{\partial x}{\partial u}\right|_v <br /> +\left.\frac{\partial f}{\partial y}\right|_x \left.\frac{\partial y}{\partial u}\right|_v <br /> \right)du +\left( <br /> \left.\frac{\partial f}{\partial x}\right|_y \left.\frac{\partial x}{\partial v}\right|_u <br /> +\left.\frac{\partial f}{\partial y}\right|_x \left.\frac{\partial y}{\partial v}\right|_u <br /> \right)dv\ .[/itex]
 
Awesome. I see :)
 

Similar threads

  • · Replies 10 ·
Replies
10
Views
2K
  • · Replies 1 ·
Replies
1
Views
1K
Replies
5
Views
4K
  • · Replies 12 ·
Replies
12
Views
5K
Replies
9
Views
2K
  • · Replies 2 ·
Replies
2
Views
2K
Replies
1
Views
2K
  • · Replies 23 ·
Replies
23
Views
3K
  • · Replies 1 ·
Replies
1
Views
1K
  • · Replies 7 ·
Replies
7
Views
2K