Characteristic function of the sum of random variables

Click For Summary

Homework Help Overview

The discussion revolves around understanding the characteristic function of the sum of random variables, specifically the equality involving the notation ##\hat{P_{X}(K)}=\hat{P(k_1=k_2=...=k_{N}=k)}##. Participants are exploring the implications of this equality and the role of independence in the context of random variables.

Discussion Character

  • Exploratory, Conceptual clarification, Mathematical reasoning

Approaches and Questions Raised

  • Participants are attempting to express the characteristic function in terms of the individual random variables' distributions. There is a focus on the implications of independence and how it affects the formulation of the characteristic function. Some participants question the validity of certain expressions and the assumptions behind them, particularly regarding the notation and the meaning of the equality presented.

Discussion Status

The discussion is ongoing, with participants actively questioning the setup and exploring different interpretations of the problem. Some have provided insights into the convolution of distribution functions and the implications of the Law of the Unconscious Statistician (LOTUS), but there is no clear consensus on the interpretation of the original statement or the next steps.

Contextual Notes

There are mentions of the need for clarity regarding the independence of random variables and the specific form of the joint distribution function ##p(\vec{x})##. Participants express uncertainty about drawing conclusions without additional information on these aspects.

binbagsss
Messages
1,291
Reaction score
12

Homework Statement



charofx.png
I am trying to understand the very last equality for (let me replace the tilda with a hat ) ##\hat{P_{X}(K)}=\hat{P(k_1=k_2=...=k_{N}=k)}##(1)

Homework Equations



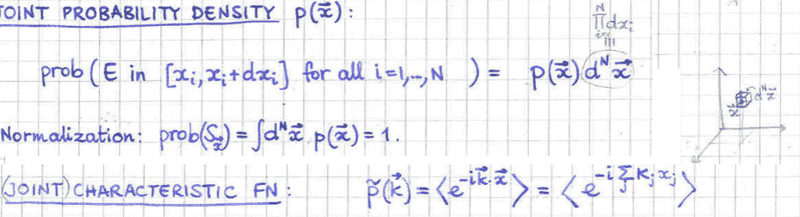
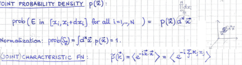
jointchar.png


I also thought that the following imaginary exponential delta identity may be useful, due to the equality of the ##k_i##, but see comments below:

##\int dk \exp^{ikx} = \delta(x=0) ##

The Attempt at a Solution



So it sees to me the goal is something like expressing ##\hat{P_{X}(K)}## in terms of ##P(\hat{k_i})## ?

So these are given by ##\hat{P(k_1)...P(k_n)}= \int d^{N} \vec{x} p(\vec{x}) \exp^{-i \sum\limits_j x_j k_j } ##

I thought I`d first try to look at the simplified case of indepedent random variables to understand (1) but still can`t seem to get it.

So in this case ##p(\vec{x}) = \Pi_{i} p(x_i)##

And then we have

(If I am correct in that the notation is that ##\Pi_{i} dx_i = d^N (\vec{x}) ##)
##\hat{P(k_1)...P(k_n)}= \int \Pi_{i} dx_i p(x_i) \exp^{-i \sum\limits_j x_j k_j } ##
and then you can separate the integrals and so we have:

##\hat{P(k_1)...P(k_n)}= \hat{P_{x_1}(k_1)} ...\hat{P_{x_n}(k_n)} ## (2)

Now if I consider the independent case in ##\hat{P_{X}(K)}## I have:

##\hat{P_{X}(K)} =\int \Pi_{i} dx_i p(x_i) \exp^{-i k \sum\limits_j x_j }
= \int dx_1 p(x_1) e^{-ix_1 k} \int dx_2 p(x_2) e^{-ix_2 k}...\int dx_N p(x_N) e^{-ikx_N}
= \hat{P_{x_1}(k)} ...\hat{P_{x_n}(k)} ##

So if I compare this to (2), and can reason( I'm not sure you can) that it does matter whether you have ##k_i## or ##k##, this is just the label of the Fourier transform, but look at the lower notation that gives the distribution, that ##\hat{P_{x_1}(k)}= \hat{P_{x_1}(k_1)} ## and then I have ##k_1=k## and can do the same for each ##k_i## etc.

Without independence instead i have:

##\int d^{N} \vec{x} p(\vec{x}) \exp^{-i k \sum\limits_j x_j } ##

and I can't see how you can make any conclusions without knowing what ## p(\vec{x}) ## is?

Many thanks
 

Attachments

  • jointchar.png
    jointchar.png
    56.8 KB · Views: 1,113
  • charofx.png
    charofx.png
    63.2 KB · Views: 1,223
Physics news on Phys.org
binbagsss said:

Homework Statement



View attachment 226899I am trying to understand the very last equality for (let me replace the tilda with a hat ) ##\hat{P_{X}(K)}=\hat{P(k_1=k_2=...=k_{N}=k)}##(1)

Homework Equations



View attachment 226898

I also thought that the following imaginary exponential delta identity may be useful, due to the equality of the ##k_i##, but see comments below:

##\int dk \exp^{ikx} = \delta(x=0) ##

The Attempt at a Solution



So it sees to me the goal is something like expressing ##\hat{P_{X}(K)}## in terms of ##P(\hat{k_i})## ?

So these are given by ##\hat{P(k_1)...P(k_n)}= \int d^{N} \vec{x} p(\vec{x}) \exp^{-i \sum\limits_j x_j k_j } ##

I thought I`d first try to look at the simplified case of indepedent random variables to understand (1) but still can`t seem to get it.

So in this case ##p(\vec{x}) = \Pi_{i} p(x_i)##

And then we have

(If I am correct in that the notation is that ##\Pi_{i} dx_i = d^N (\vec{x}) ##)
##\hat{P(k_1)...P(k_n)}= \int \Pi_{i} dx_i p(x_i) \exp^{-i \sum\limits_j x_j k_j } ##
and then you can separate the integrals and so we have:

##\hat{P(k_1)...P(k_n)}= \hat{P_{x_1}(k_1)} ...\hat{P_{x_n}(k_n)} ## (2)

Now if I consider the independent case in ##\hat{P_{X}(K)}## I have:

##\hat{P_{X}(K)} =\int \Pi_{i} dx_i p(x_i) \exp^{-i k \sum\limits_j x_j }
= \int dx_1 p(x_1) e^{-ix_1 k} \int dx_2 p(x_2) e^{-ix_2 k}...\int dx_N p(x_N) e^{-ikx_N}
= \hat{P_{x_1}(k)} ...\hat{P_{x_n}(k)} ##

So if I compare this to (2), and can reason( I'm not sure you can) that it does matter whether you have ##k_i## or ##k##, this is just the label of the Fourier transform, but look at the lower notation that gives the distribution, that ##\hat{P_{x_1}(k)}= \hat{P_{x_1}(k_1)} ## and then I have ##k_1=k## and can do the same for each ##k_i## etc.

Without independence instead i have:

##\int d^{N} \vec{x} p(\vec{x}) \exp^{-i k \sum\limits_j x_j } ##

and I can't see how you can make any conclusions without knowing what ## p(\vec{x}) ## is?

Many thanks
I don't see that you have considered convolution of the distribution functions here. The sum of two iid random variables ##X = X_1+X_2## has a pdf
##f(x) = \int_{-\infty}^{\infty}g(x-x_1)g(x_1)~dx_1##
where ##g(x_i)## is the pdf of the ##X_1## and ##X_2##.
 
tnich said:
I don't see that you have considered convolution of the distribution functions here. The sum of two iid random variables ##X = X_1+X_2## has a pdf
##f(x) = \int_{-\infty}^{\infty}g(x-x_1)g(x_1)~dx_1##
where ##g(x_i)## is the pdf of the ##X_1## and ##X_2##.
Looking again at your problem statement, I can see that you are trying to do something with random variables that are not independent, but you never state the question that you want to answer. You say you can't draw any conclusions about ##p(\vec{x})##. What kind of conclusions do you want to draw?
 
tnich said:
Looking again at your problem statement, I can see that you are trying to do something with random variables that are not independent, but you never state the question that you want to answer. You say you can't draw any conclusions about ##p(\vec{x})##. What kind of conclusions do you want to draw?
see bottom of my OP under section 1. I am trying to understand the last equailty...?
 
binbagsss said:
see bottom of my OP under section 1. I am trying to understand the last equailty...?
So am I. I am having trouble parsing the right-hand side of
##\tilde P_{X}(k)=\tilde P(k_1=k_2=...=k_{N}=k)##
It is a characteristic function, so it is the expectation of a function ##exp\{-ikf(x_1,x_2,. . .,x_n)\}##, and we know what that function looks like. But ##\tilde P(k_1=k_2=...=k_{N}=k)## seems to be a meaningless expression.
 
tnich said:
So am I. I am having trouble parsing the right-hand side of
##\tilde P_{X}(k)=\tilde P(k_1=k_2=...=k_{N}=k)##
It is a characteristic function, so it is the expectation of a function ##exp\{-ikf(x_1,x_2,. . .,x_n)\}##, and we know what that function looks like. But ##\tilde P(k_1=k_2=...=k_{N}=k)## seems to be a meaningless expression.

If ##\tilde{P}_X(k_1, k_2, \ldots, k_n)= \tilde{P}_X(\mathbf{k})## is the (multivariate) characteristic function of the multivariate density ##p(x_1, x_2, \ldots, x_n) = p(\mathbf{x})##, then, by definition we have
$$\tilde{P}_X(\mathbf{k}) = \int \exp(-i \: \mathbf{k \cdot x})\, p(\mathbf{x}) \, d^n \mathbf{x} $$
Also, by definition, if ##f_Y(y)## is the density function of the random variable ##Y = X_1 + X_2 + \cdots + X_n##, its characteristic function is
$$\tilde{P}_Y(k) = \int \exp(-i \, k y) f_Y(y) \, dy.$$
However, because of the Law of the Unconscious Statistician (LOTUS), we can write
$$\tilde{P}_Y(k) = \int \exp(-i k \sum_j x_j)\, p(\mathbf{x}) \, d^n \mathbf{x} \hspace{3em} (1) $$
(Note that in principle, we cannot simply write this down; we need to justify it. That is where the LOTUS comes in.)

Once we have equation (1) we can simply say that
$$\tilde{P}_Y(k) = \tilde{P}_X(k,k,k,\ldots,k).$$
That is probably what the author meant by his/her ill-advised notation.

For more on the LOTUS, see, eg.,
https://en.wikipedia.org/wiki/Law_of_the_unconscious_statistician (just the bare basics, with no proofs)
or
https://math.stackexchange.com/questions/415196/proving-the-law-of-the-unconscious-statistician (statement and proof)

Apparently, some authors have dropped that name in newer additions of their books, because of complaints from statisticians. Nevertheless, some other books have shown the continuing need for such a result, because some authors really do use the result 'unconsciously", or at least, without alerting the reader to the issue.
 
Last edited:
  • Like
Likes   Reactions: tnich
Ray Vickson said:
If ##\tilde{P}_X(k_1, k_2, \ldots, k_n)= \tilde{P}_X(\mathbf{k})## is the (multivariate) characteristic function of the multivariate density ##p(x_1, x_2, \ldots, x_n) = p(\mathbf{x})##, then, by definition we have
$$\tilde{P}_X(\mathbf{k}) = \int \exp(-i \: \mathbf{k \cdot x})\, p(\mathbf{x}) \, d^n \mathbf{x} $$
Also, by definition, if ##f_Y(y)## is the density function of the random variable ##Y = X_1 + X_2 + \cdots + X_n##, its characteristic function is
$$\tilde{P}_Y(k) = \int \exp(-i \, k y) f_Y(y) \, dy.$$
However, because of the Law of the Unconscious Statistician (LOTUS), we can write
$$\tilde{P}_Y(k) = \int \exp(-i k \sum_j x_j)\, p(\mathbf{x}) \, d^n \mathbf{x} \hspace{3em} (1) $$
(Note that in principle, we cannot simply write this down; we need to justify it. That is where the LOTUS comes in.)

Once we have equation (1) we can simply say that
$$\tilde{P}_Y(k) = \tilde{P}_X(k,k,k,\ldots,k).$$
That is probably what the author meant by his/her ill-advised notation.

For more on the LOTUS, see, eg.,
https://en.wikipedia.org/wiki/Law_of_the_unconscious_statistician (just the bare basics, with no proofs)
or
https://math.stackexchange.com/questions/415196/proving-the-law-of-the-unconscious-statistician (statement and proof)

Apparently, some authors have dropped that name in newer additions of their books, because of complaints from statisticians. Nevertheless, some other books have shown the continuing need for such a result, because some authors really do use the result 'unconsciously", or at least, without alerting the reader to the issue.
Thanks! I think you meant ##\tilde{P}_Y(k) = \tilde{P}_X(k,k,k,\ldots,k)##, and you have given a good answer to the question in the OP about what that equality means.
 

Similar threads

Replies
3
Views
2K
  • · Replies 8 ·
Replies
8
Views
2K
  • · Replies 1 ·
Replies
1
Views
1K
  • · Replies 1 ·
Replies
1
Views
2K
  • · Replies 2 ·
Replies
2
Views
1K
Replies
7
Views
2K
Replies
3
Views
2K
Replies
10
Views
2K
  • · Replies 4 ·
Replies
4
Views
1K
  • · Replies 10 ·
Replies
10
Views
6K